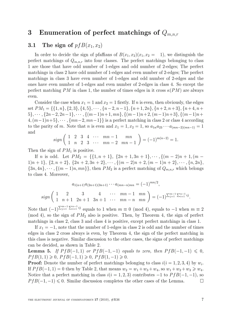
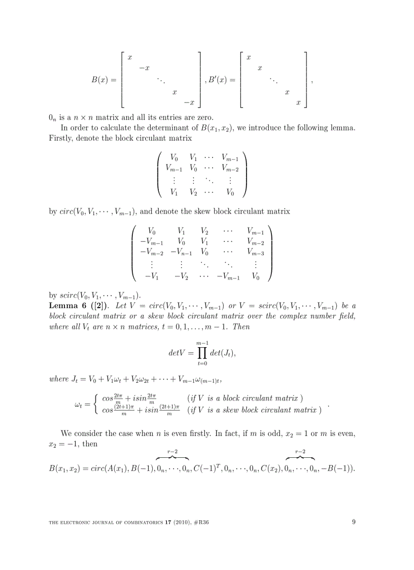
Enumeration of perfect matchings of a type of quadratic lattice on the torus

Enumeration of perfect matchings of a type of quadratic lattice on the torus

Tài liệu "Enumeration of perfect matchings of a type of quadratic lattice on the torus" có mã là 610589, file định dạng pdf, có 14 trang, dung lượng file 283 kb. Tài liệu thuộc chuyên mục: Sách điện tử > Ngoại ngữ. Tài liệu thuộc loại Đồng

image for page Enumeration of perfect matchings of a type of quadratic lattice on the torus
image for page Enumeration of perfect matchings of a type of quadratic lattice on the torus
image for page Enumeration of perfect matchings of a type of quadratic lattice on the torus
image for page Enumeration of perfect matchings of a type of quadratic lattice on the torus
image for page Enumeration of perfect matchings of a type of quadratic lattice on the torus
image for page Enumeration of perfect matchings of a type of quadratic lattice on the torus
image for page Enumeration of perfect matchings of a type of quadratic lattice on the torus
image for page Enumeration of perfect matchings of a type of quadratic lattice on the torus
image for page Enumeration of perfect matchings of a type of quadratic lattice on the torus
image for page Enumeration of perfect matchings of a type of quadratic lattice on the torus
image for page Enumeration of perfect matchings of a type of quadratic lattice on the torus
image for page Enumeration of perfect matchings of a type of quadratic lattice on the torus
image for page Enumeration of perfect matchings of a type of quadratic lattice on the torus
image for page Enumeration of perfect matchings of a type of quadratic lattice on the torus
matchings of Enumeration of perfect matchings of a type the torus Enumeration of Enumeration on lattice type quadratic lattice Enumeration of quadratic Enumeration of perfect matchings of a on the of a perfect matchings perfect of type of Enumeration of perfect matchings a Enumeration of perfect matchings of of Enumeration of perfect

Mã tài liệu 610589

Các chức năng trên hệ thống được hướng dẫn đầy đủ và chi tiết nhất qua các video. Bạn click vào nút bên dưới để xem.

Có thể tài liệu Enumeration of perfect matchings of a type of quadratic lattice on the torus sử dụng nhiều loại font chữ mà máy tính bạn chưa có.
Bạn click vào nút bên dưới để tải chương trình cài đặt bộ font chữ đầy đủ nhất cho bạn.

Nếu phần nội dung, hình ảnh ,... trong tài liệu Enumeration of perfect matchings of a type of quadratic lattice on the torus có liên quan đến vi phạm bản quyền, bạn vui lòng click bên dưới báo cho chúng tôi biết.

Tài liệu vừa xem

Enumeration of perfect matchings of a type
Enumeration of perfect matchings of a
Enumeration of perfect
Enumeration of perfect matchings
Enumeration of
Enumeration of perfect matchings of