10 đề thi toán học lớp 11 năm 2010 2011

10 đề thi toán học lớp 11 năm 2010 2011

Tài liệu "10 đề thi toán học lớp 11 năm 2010 2011" có mã là 562663, file định dạng pdf, có 1 trang, dung lượng file 44 kb. Tài liệu thuộc chuyên mục: Tài liệu chuyên ngành > Chuyên Ngành Kinh Tế > Kế Toán - Kiểm Toán. Tài liệu thuộc loại Đồng

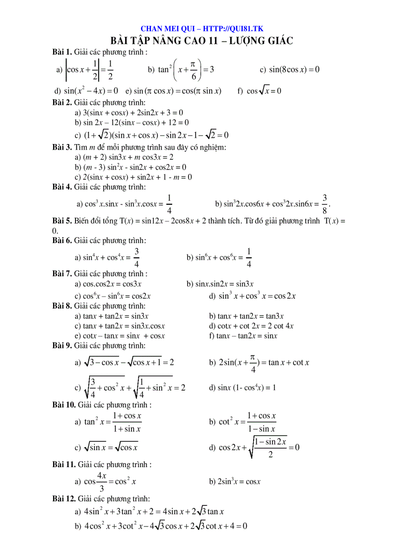
image for page 10 đề thi toán học lớp 11 năm 2010 2011
học lớp thi toán năm 10 đề thi toán học lớp thi 11 học 10 đề thi 10 đề 11 năm 10 đề thi toán học 2010 2011 đề 10 đề lớp 10 10 đề thi toán 2010 2011 toán 10 đề thi toán học lớp 11

Mã tài liệu 562663

Các chức năng trên hệ thống được hướng dẫn đầy đủ và chi tiết nhất qua các video. Bạn click vào nút bên dưới để xem.

Có thể tài liệu 10 đề thi toán học lớp 11 năm 2010 2011 sử dụng nhiều loại font chữ mà máy tính bạn chưa có.
Bạn click vào nút bên dưới để tải chương trình cài đặt bộ font chữ đầy đủ nhất cho bạn.

Nếu phần nội dung, hình ảnh ,... trong tài liệu 10 đề thi toán học lớp 11 năm 2010 2011 có liên quan đến vi phạm bản quyền, bạn vui lòng click bên dưới báo cho chúng tôi biết.

Tài liệu vừa xem

10 đề thi
10 đề thi toán
10 đề thi toán học lớp
10 đề thi toán học lớp 11
10 đề thi toán học
10 đề