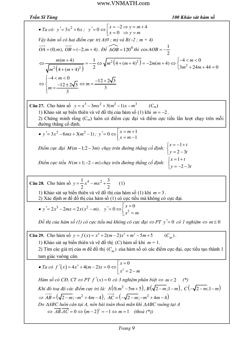
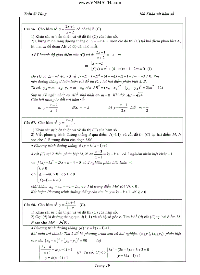
100 bài tập khảo sát luyện thi đại học

100 bài tập khảo sát luyện thi đại học

Tài liệu "100 bài tập khảo sát luyện thi đại học" có mã là 560289, file định dạng pdf, có 37 trang, dung lượng file 961 kb. Tài liệu thuộc chuyên mục: Tài liệu chuyên ngành > Chuyên Ngành Kinh Tế > Kế Toán - Kiểm Toán. Tài liệu thuộc loại Bạc

image for page 100 bài tập khảo sát luyện thi đại học
image for page 100 bài tập khảo sát luyện thi đại học
image for page 100 bài tập khảo sát luyện thi đại học
image for page 100 bài tập khảo sát luyện thi đại học
image for page 100 bài tập khảo sát luyện thi đại học
image for page 100 bài tập khảo sát luyện thi đại học
image for page 100 bài tập khảo sát luyện thi đại học
image for page 100 bài tập khảo sát luyện thi đại học
image for page 100 bài tập khảo sát luyện thi đại học
image for page 100 bài tập khảo sát luyện thi đại học
image for page 100 bài tập khảo sát luyện thi đại học
image for page 100 bài tập khảo sát luyện thi đại học
image for page 100 bài tập khảo sát luyện thi đại học
image for page 100 bài tập khảo sát luyện thi đại học
image for page 100 bài tập khảo sát luyện thi đại học
image for page 100 bài tập khảo sát luyện thi đại học
image for page 100 bài tập khảo sát luyện thi đại học
image for page 100 bài tập khảo sát luyện thi đại học
image for page 100 bài tập khảo sát luyện thi đại học
image for page 100 bài tập khảo sát luyện thi đại học
sát luyện tập 100 bài học 100 bài tập khảo sát khảo 100 bài tập khảo sát luyện thi thi đại 100 bài tập khảo 100 bài tập khảo sát luyện 100 bài tập bài tập khảo 100 bài thi 100 luyện sát đại

Mã tài liệu 560289

Các chức năng trên hệ thống được hướng dẫn đầy đủ và chi tiết nhất qua các video. Bạn click vào nút bên dưới để xem.

Có thể tài liệu 100 bài tập khảo sát luyện thi đại học sử dụng nhiều loại font chữ mà máy tính bạn chưa có.
Bạn click vào nút bên dưới để tải chương trình cài đặt bộ font chữ đầy đủ nhất cho bạn.

Nếu phần nội dung, hình ảnh ,... trong tài liệu 100 bài tập khảo sát luyện thi đại học có liên quan đến vi phạm bản quyền, bạn vui lòng click bên dưới báo cho chúng tôi biết.

Tài liệu vừa xem

100 bài tập khảo sát luyện
100 bài tập khảo sát
100 bài
100 bài tập
100 bài tập khảo
100 bài tập khảo sát luyện thi