A conjecture of Biggs concerning the resistance of a distance regular graph

A conjecture of Biggs concerning the resistance of a distance regular graph

Tài liệu "A conjecture of Biggs concerning the resistance of a distance regular graph" có mã là 610604, file định dạng pdf, có 15 trang, dung lượng file 253 kb. Tài liệu thuộc chuyên mục: Sách điện tử > Ngoại ngữ. Tài liệu thuộc loại Đồng

image for page A conjecture of Biggs concerning the resistance of a distance regular graph
image for page A conjecture of Biggs concerning the resistance of a distance regular graph
image for page A conjecture of Biggs concerning the resistance of a distance regular graph
image for page A conjecture of Biggs concerning the resistance of a distance regular graph
image for page A conjecture of Biggs concerning the resistance of a distance regular graph
image for page A conjecture of Biggs concerning the resistance of a distance regular graph
image for page A conjecture of Biggs concerning the resistance of a distance regular graph
image for page A conjecture of Biggs concerning the resistance of a distance regular graph
image for page A conjecture of Biggs concerning the resistance of a distance regular graph
image for page A conjecture of Biggs concerning the resistance of a distance regular graph
image for page A conjecture of Biggs concerning the resistance of a distance regular graph
image for page A conjecture of Biggs concerning the resistance of a distance regular graph
image for page A conjecture of Biggs concerning the resistance of a distance regular graph
image for page A conjecture of Biggs concerning the resistance of a distance regular graph
image for page A conjecture of Biggs concerning the resistance of a distance regular graph
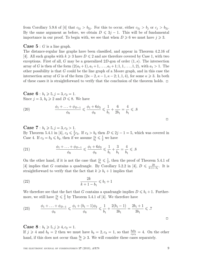
concerning the A conjecture of regular graph A conjecture of Biggs concerning the A conjecture of Biggs A conjecture of Biggs concerning concerning A conjecture of Biggs A conjecture a graph of regular distance a distance the resistance of A conjecture of Biggs concerning the resistance Biggs A resistance of conjecture

Mã tài liệu 610604

Các chức năng trên hệ thống được hướng dẫn đầy đủ và chi tiết nhất qua các video. Bạn click vào nút bên dưới để xem.

Có thể tài liệu A conjecture of Biggs concerning the resistance of a distance regular graph sử dụng nhiều loại font chữ mà máy tính bạn chưa có.
Bạn click vào nút bên dưới để tải chương trình cài đặt bộ font chữ đầy đủ nhất cho bạn.

Nếu phần nội dung, hình ảnh ,... trong tài liệu A conjecture of Biggs concerning the resistance of a distance regular graph có liên quan đến vi phạm bản quyền, bạn vui lòng click bên dưới báo cho chúng tôi biết.

Tài liệu vừa xem

A conjecture of Biggs concerning the resistance
A conjecture
A conjecture of
A conjecture of Biggs concerning
A conjecture of Biggs concerning the
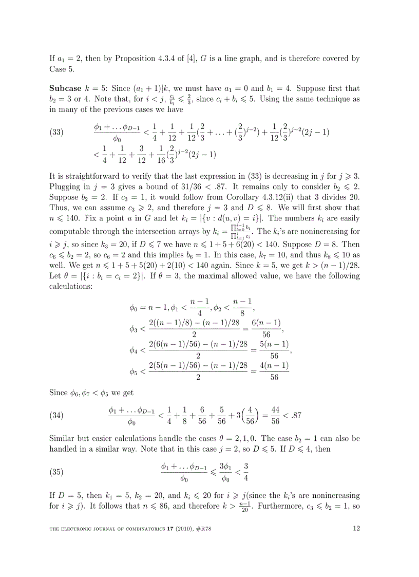
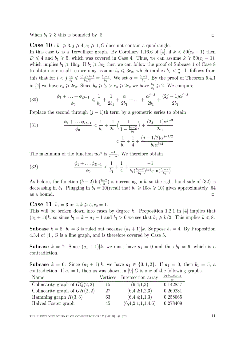
A conjecture of Biggs