Bài Giảng Nguyên hàm Tích phân Ứng dụng

Bài Giảng Nguyên hàm Tích phân Ứng dụng

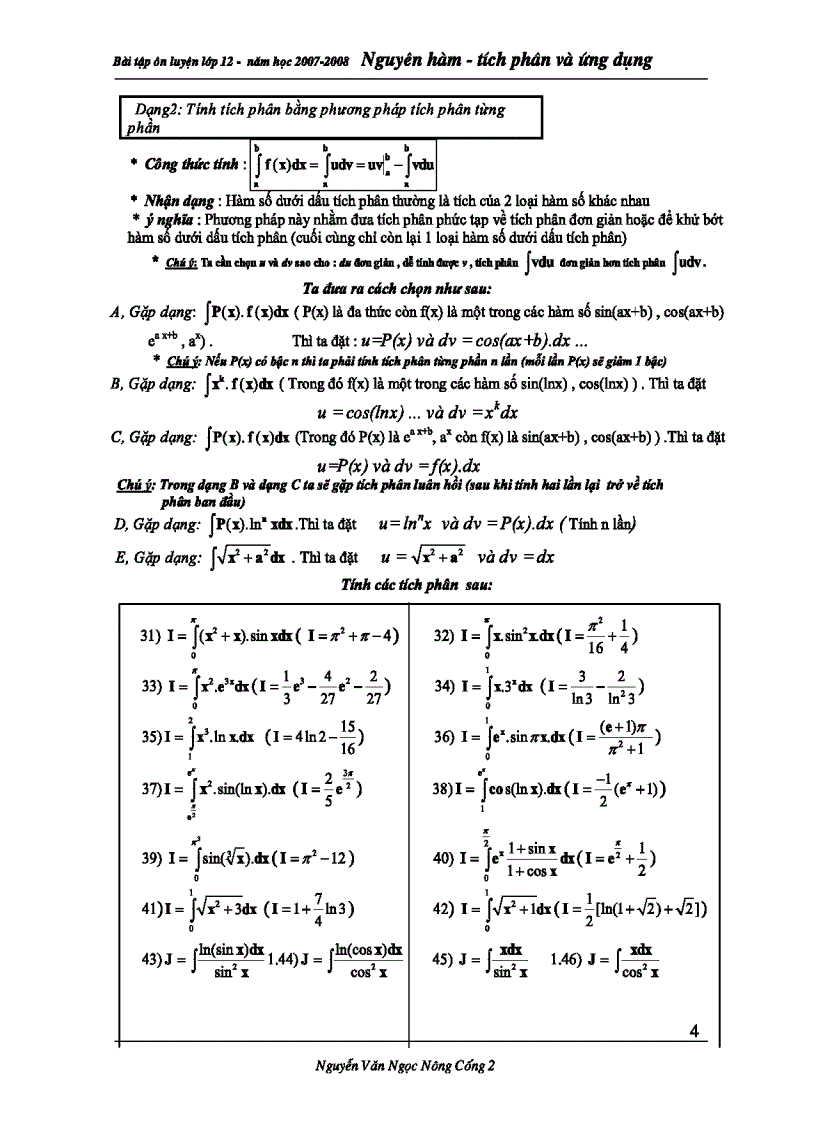
Tài liệu "Bài Giảng Nguyên hàm Tích phân Ứng dụng" có mã là 565459, file định dạng rar, có 17 trang, dung lượng file 3,987 kb. Tài liệu thuộc chuyên mục: Tài liệu chuyên ngành > Chuyên Ngành Kinh Tế > Kế Toán - Kiểm Toán. Tài liệu thuộc loại Đồng

image for page Bài Giảng Nguyên hàm Tích phân Ứng dụng
image for page Bài Giảng Nguyên hàm Tích phân Ứng dụng
image for page Bài Giảng Nguyên hàm Tích phân Ứng dụng
image for page Bài Giảng Nguyên hàm Tích phân Ứng dụng
image for page Bài Giảng Nguyên hàm Tích phân Ứng dụng
image for page Bài Giảng Nguyên hàm Tích phân Ứng dụng
image for page Bài Giảng Nguyên hàm Tích phân Ứng dụng
image for page Bài Giảng Nguyên hàm Tích phân Ứng dụng
image for page Bài Giảng Nguyên hàm Tích phân Ứng dụng
image for page Bài Giảng Nguyên hàm Tích phân Ứng dụng
image for page Bài Giảng Nguyên hàm Tích phân Ứng dụng
image for page Bài Giảng Nguyên hàm Tích phân Ứng dụng
image for page Bài Giảng Nguyên hàm Tích phân Ứng dụng
image for page Bài Giảng Nguyên hàm Tích phân Ứng dụng
image for page Bài Giảng Nguyên hàm Tích phân Ứng dụng
Bài phân Bài Giảng Nguyên hàm Tích phân Bài Giảng Nguyên Ứng hàm Tích phân Bài Giảng Nguyên hàm Tích phân Ứng Bài Giảng dụng Bài Giảng Nguyên hàm Tích Bài Giảng Nguyên hàm Ứng dụng Bài Giảng Nguyên Tích Nguyên hàm Giảng

Mã tài liệu 565459

Các chức năng trên hệ thống được hướng dẫn đầy đủ và chi tiết nhất qua các video. Bạn click vào nút bên dưới để xem.

Có thể tài liệu Bài Giảng Nguyên hàm Tích phân Ứng dụng sử dụng nhiều loại font chữ mà máy tính bạn chưa có.
Bạn click vào nút bên dưới để tải chương trình cài đặt bộ font chữ đầy đủ nhất cho bạn.

Nếu phần nội dung, hình ảnh ,... trong tài liệu Bài Giảng Nguyên hàm Tích phân Ứng dụng có liên quan đến vi phạm bản quyền, bạn vui lòng click bên dưới báo cho chúng tôi biết.

Tài liệu vừa xem

Bài Giảng Nguyên
Bài Giảng
Bài Giảng Nguyên hàm
Bài Giảng Nguyên hàm Tích phân
Bài Giảng Nguyên hàm Tích phân Ứng
Bài Giảng Nguyên hàm Tích