Bài giảng phương trình vi phân

Bài giảng phương trình vi phân

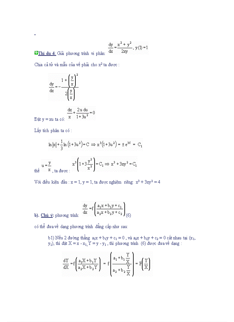
Tài liệu "Bài giảng phương trình vi phân" có mã là 567097, file định dạng doc, có 29 trang, dung lượng file 462 kb. Tài liệu thuộc chuyên mục: Tài liệu chuyên ngành > Chuyên Ngành Kinh Tế > Kế Toán - Kiểm Toán. Tài liệu thuộc loại Bạc

image for page Bài giảng phương trình vi phân
image for page Bài giảng phương trình vi phân
image for page Bài giảng phương trình vi phân
image for page Bài giảng phương trình vi phân
image for page Bài giảng phương trình vi phân
image for page Bài giảng phương trình vi phân
image for page Bài giảng phương trình vi phân
image for page Bài giảng phương trình vi phân
image for page Bài giảng phương trình vi phân
image for page Bài giảng phương trình vi phân
image for page Bài giảng phương trình vi phân
image for page Bài giảng phương trình vi phân
image for page Bài giảng phương trình vi phân
image for page Bài giảng phương trình vi phân
image for page Bài giảng phương trình vi phân
phương Bài giảng Bài giảng phương trình vi Bài giảng phương Bài vi phân Bài giảng giảng vi phương trình trình phân Bài giảng phương trình

Mã tài liệu 567097

Các chức năng trên hệ thống được hướng dẫn đầy đủ và chi tiết nhất qua các video. Bạn click vào nút bên dưới để xem.

Có thể tài liệu Bài giảng phương trình vi phân sử dụng nhiều loại font chữ mà máy tính bạn chưa có.
Bạn click vào nút bên dưới để tải chương trình cài đặt bộ font chữ đầy đủ nhất cho bạn.

Nếu phần nội dung, hình ảnh ,... trong tài liệu Bài giảng phương trình vi phân có liên quan đến vi phạm bản quyền, bạn vui lòng click bên dưới báo cho chúng tôi biết.

Tài liệu vừa xem

Bài giảng phương
Bài giảng phương trình vi
Bài giảng phương trình
Bài giảng