Bài tập bổ sung về khảo sát hàm số

Bài tập bổ sung về khảo sát hàm số

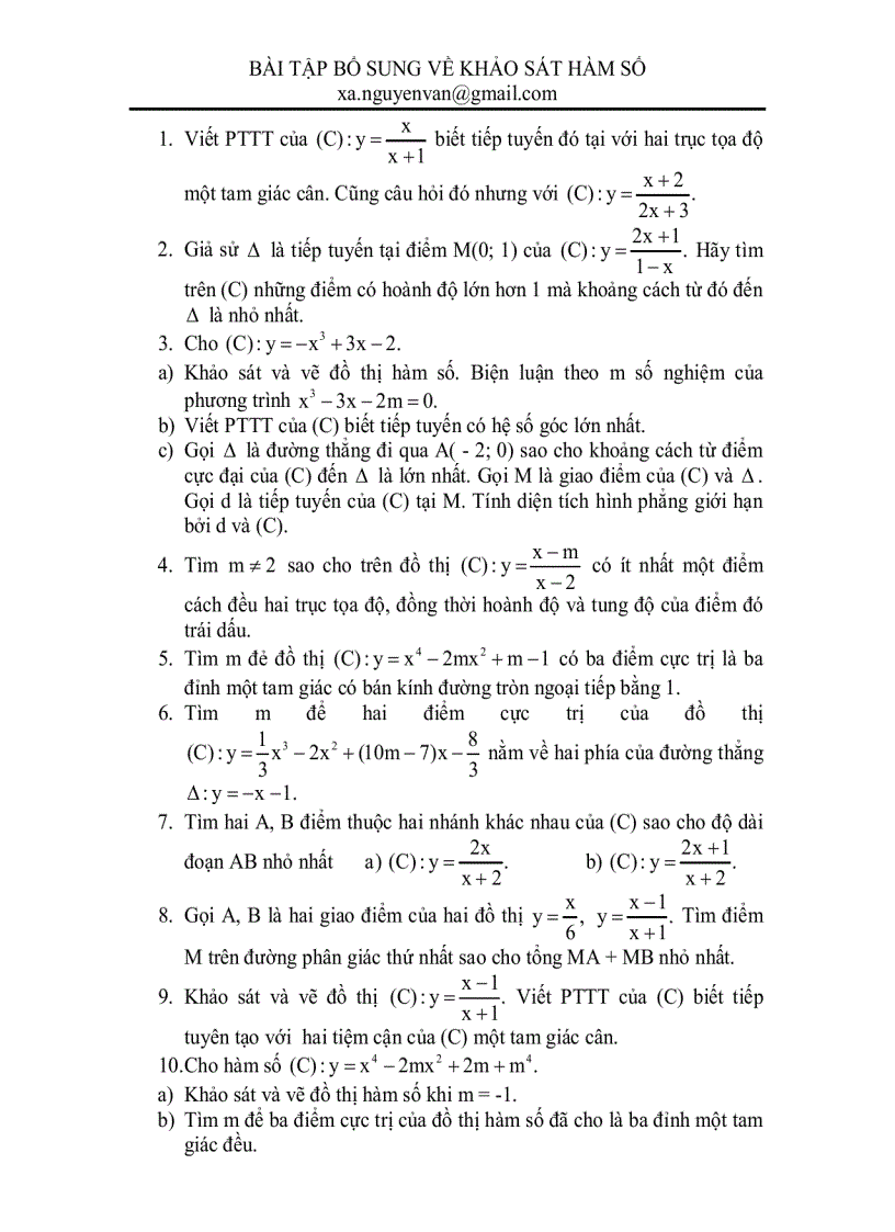
Tài liệu "Bài tập bổ sung về khảo sát hàm số" có mã là 559895, file định dạng pdf, có 1 trang, dung lượng file 62 kb. Tài liệu thuộc chuyên mục: Tài liệu chuyên ngành > Chuyên Ngành Kinh Tế > Kế Toán - Kiểm Toán. Tài liệu thuộc loại Đồng

image for page Bài tập bổ sung về khảo sát hàm số
Bài tập bổ sung bổ sung bổ Bài tập số khảo Bài tập bổ sung về hàm tập Bài tập bổ sung về khảo sung Bài tập bổ sát về khảo về Bài tập Bài tập bổ sung về khảo sát sát hàm Bài

Mã tài liệu 559895

Các chức năng trên hệ thống được hướng dẫn đầy đủ và chi tiết nhất qua các video. Bạn click vào nút bên dưới để xem.

Có thể tài liệu Bài tập bổ sung về khảo sát hàm số sử dụng nhiều loại font chữ mà máy tính bạn chưa có.
Bạn click vào nút bên dưới để tải chương trình cài đặt bộ font chữ đầy đủ nhất cho bạn.

Nếu phần nội dung, hình ảnh ,... trong tài liệu Bài tập bổ sung về khảo sát hàm số có liên quan đến vi phạm bản quyền, bạn vui lòng click bên dưới báo cho chúng tôi biết.

Tài liệu vừa xem

Bài tập bổ sung về
Bài tập bổ
Bài tập bổ sung
Bài tập
Bài tập bổ sung về khảo sát
Bài tập bổ sung về khảo