Bai tap dai luong mol rieng phan

Bai tap dai luong mol rieng phan

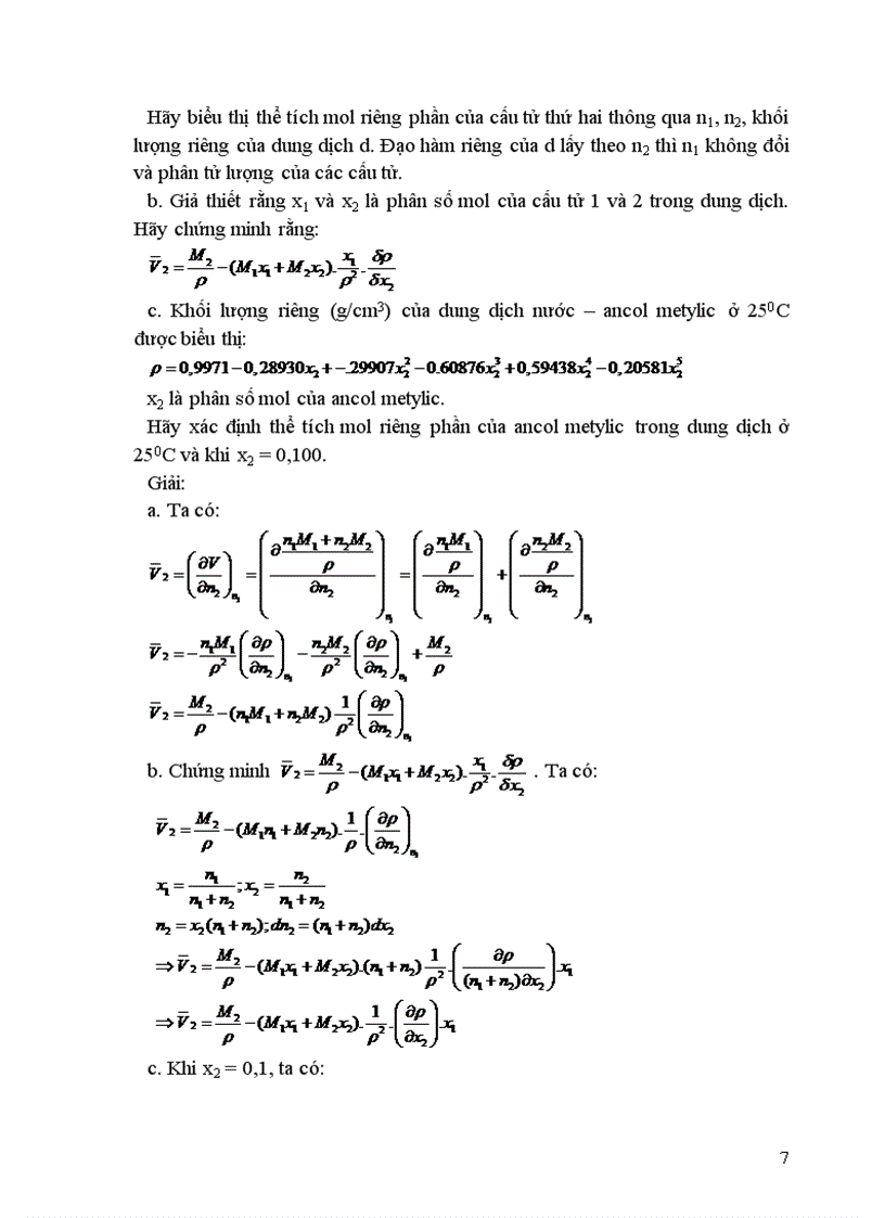
Tài liệu "Bai tap dai luong mol rieng phan" có mã là 391656, file định dạng doc, có 17 trang Tài liệu thuộc chuyên mục: Tài liệu phổ thông > Hóa Học > Hóa học Lớp 12. Tài liệu thuộc loại Đồng

image for page Bai tap dai luong mol rieng phan
image for page Bai tap dai luong mol rieng phan
image for page Bai tap dai luong mol rieng phan
image for page Bai tap dai luong mol rieng phan
image for page Bai tap dai luong mol rieng phan
image for page Bai tap dai luong mol rieng phan
image for page Bai tap dai luong mol rieng phan
image for page Bai tap dai luong mol rieng phan
image for page Bai tap dai luong mol rieng phan
image for page Bai tap dai luong mol rieng phan
image for page Bai tap dai luong mol rieng phan
image for page Bai tap dai luong mol rieng phan
image for page Bai tap dai luong mol rieng phan
image for page Bai tap dai luong mol rieng phan
image for page Bai tap dai luong mol rieng phan
Bai tap dai Bai tap dai luong rieng Bai tap phan luong tap mol mol rieng Bai tap Bai tap dai luong mol rieng Bai Bai tap dai luong mol dai dai luong

Mã tài liệu 391656

Các chức năng trên hệ thống được hướng dẫn đầy đủ và chi tiết nhất qua các video. Bạn click vào nút bên dưới để xem.

Có thể tài liệu Bai tap dai luong mol rieng phan sử dụng nhiều loại font chữ mà máy tính bạn chưa có.
Bạn click vào nút bên dưới để tải chương trình cài đặt bộ font chữ đầy đủ nhất cho bạn.

Nếu phần nội dung, hình ảnh ,... trong tài liệu Bai tap dai luong mol rieng phan có liên quan đến vi phạm bản quyền, bạn vui lòng click bên dưới báo cho chúng tôi biết.

Tài liệu vừa xem

Bai tap dai luong mol
Bai tap
Bai tap dai luong
Bai tap dai luong mol rieng
Bai tap dai