Bài tập kinh tế lượng ứng dụng

Bài tập kinh tế lượng ứng dụng

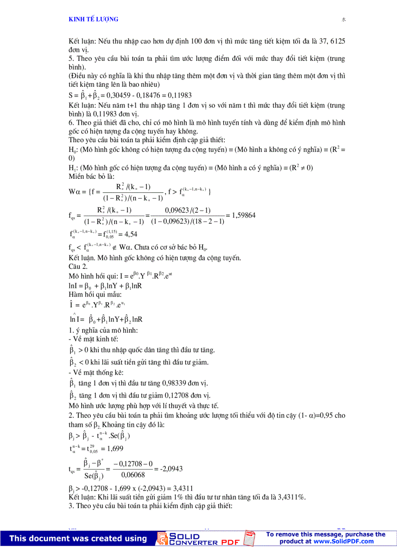
Tài liệu "Bài tập kinh tế lượng ứng dụng" có mã là 547403, file định dạng rar, có 18 trang, dung lượng file 257 kb. Tài liệu thuộc chuyên mục: Tài liệu chuyên ngành > Chuyên Ngành Kinh Tế > Kinh Tế Học. Tài liệu thuộc loại Đồng

image for page Bài tập kinh tế lượng ứng dụng
image for page Bài tập kinh tế lượng ứng dụng
image for page Bài tập kinh tế lượng ứng dụng
image for page Bài tập kinh tế lượng ứng dụng
image for page Bài tập kinh tế lượng ứng dụng
image for page Bài tập kinh tế lượng ứng dụng
image for page Bài tập kinh tế lượng ứng dụng
image for page Bài tập kinh tế lượng ứng dụng
image for page Bài tập kinh tế lượng ứng dụng
image for page Bài tập kinh tế lượng ứng dụng
image for page Bài tập kinh tế lượng ứng dụng
image for page Bài tập kinh tế lượng ứng dụng
image for page Bài tập kinh tế lượng ứng dụng
image for page Bài tập kinh tế lượng ứng dụng
image for page Bài tập kinh tế lượng ứng dụng
Bài tập kinh tế lượng tập Bài tập kinh tế lượng ứng kinh tế dụng Bài kinh tế Bài tập Bài tập kinh Bài tập ứng Bài tập kinh tế lượng lượng ứng

Mã tài liệu 547403

Các chức năng trên hệ thống được hướng dẫn đầy đủ và chi tiết nhất qua các video. Bạn click vào nút bên dưới để xem.

Có thể tài liệu Bài tập kinh tế lượng ứng dụng sử dụng nhiều loại font chữ mà máy tính bạn chưa có.
Bạn click vào nút bên dưới để tải chương trình cài đặt bộ font chữ đầy đủ nhất cho bạn.

Nếu phần nội dung, hình ảnh ,... trong tài liệu Bài tập kinh tế lượng ứng dụng có liên quan đến vi phạm bản quyền, bạn vui lòng click bên dưới báo cho chúng tôi biết.

Tài liệu vừa xem

Bài tập kinh tế lượng ứng
Bài tập kinh tế lượng
Bài tập kinh tế
Bài tập kinh
Bài tập