Bài tập số phức

Bài tập số phức

Tài liệu "Bài tập số phức" có mã là 330086, file định dạng rar, có 54 trang, dung lượng file 1,476 kb. Tài liệu thuộc chuyên mục: Tài liệu phổ thông > Cao đẳng, Đại Học > Toán Học. Tài liệu thuộc loại Bạc

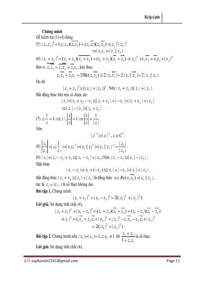
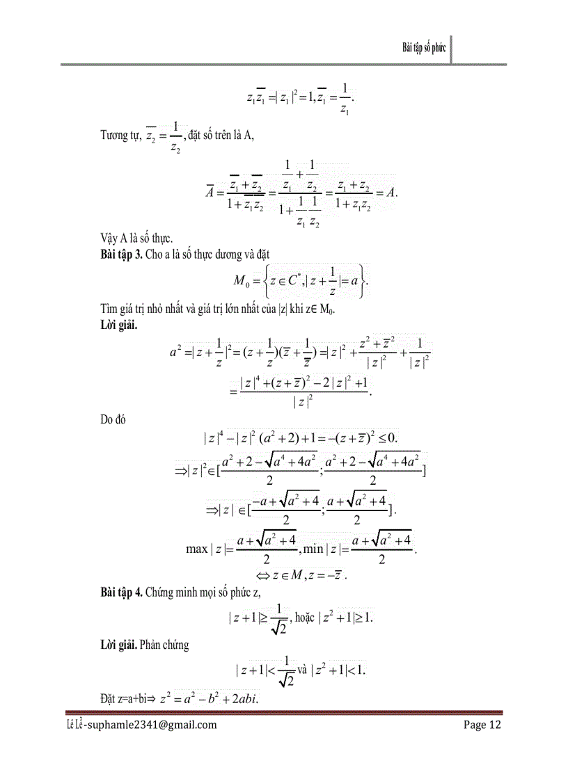
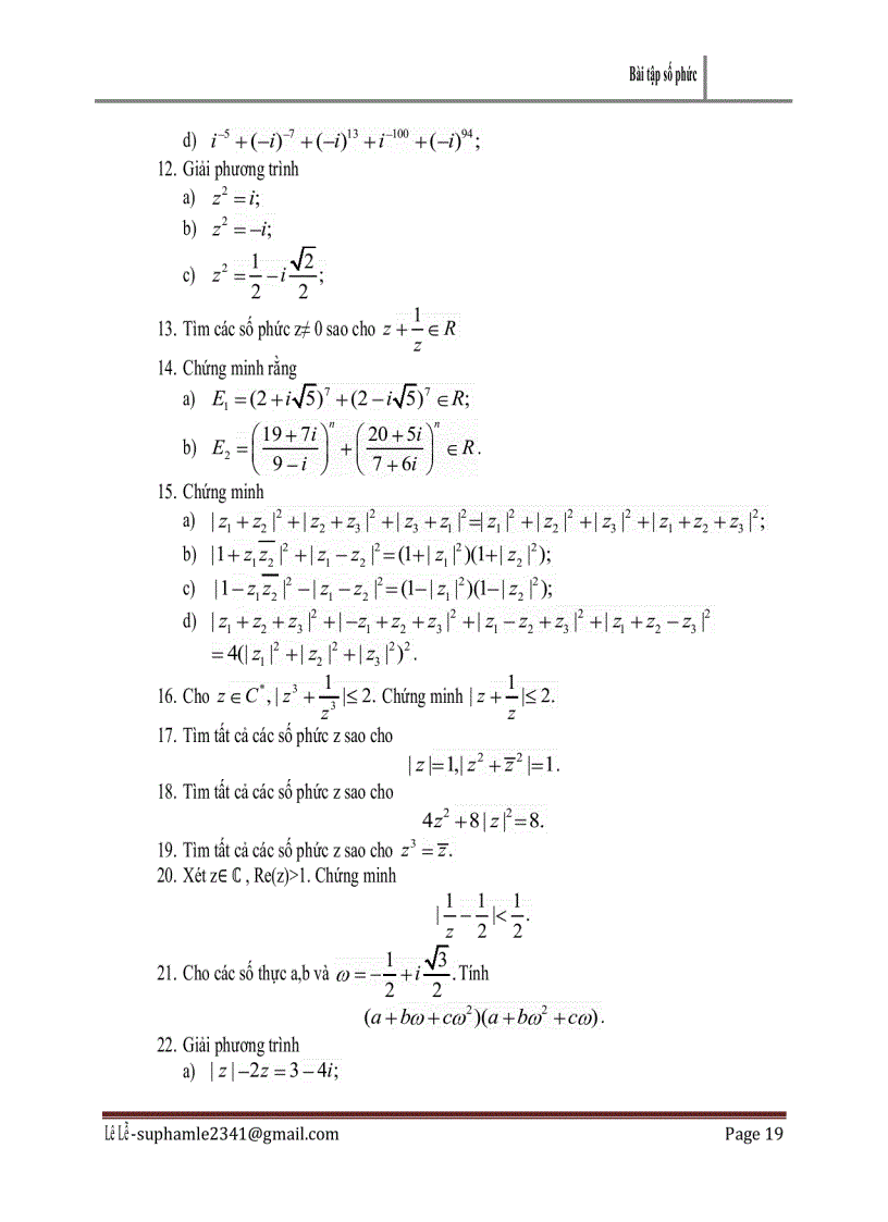
image for page Bài tập số phức
image for page Bài tập số phức
image for page Bài tập số phức
image for page Bài tập số phức
image for page Bài tập số phức
image for page Bài tập số phức
image for page Bài tập số phức
image for page Bài tập số phức
image for page Bài tập số phức
image for page Bài tập số phức
image for page Bài tập số phức
image for page Bài tập số phức
image for page Bài tập số phức
image for page Bài tập số phức
image for page Bài tập số phức
image for page Bài tập số phức
image for page Bài tập số phức
image for page Bài tập số phức
image for page Bài tập số phức
image for page Bài tập số phức
image for page Bài tập số phức
image for page Bài tập số phức
image for page Bài tập số phức
image for page Bài tập số phức

Mã tài liệu 330086

Các chức năng trên hệ thống được hướng dẫn đầy đủ và chi tiết nhất qua các video. Bạn click vào nút bên dưới để xem.

Có thể tài liệu Bài tập số phức sử dụng nhiều loại font chữ mà máy tính bạn chưa có.
Bạn click vào nút bên dưới để tải chương trình cài đặt bộ font chữ đầy đủ nhất cho bạn.

Nếu phần nội dung, hình ảnh ,... trong tài liệu Bài tập số phức có liên quan đến vi phạm bản quyền, bạn vui lòng click bên dưới báo cho chúng tôi biết.

Tài liệu vừa xem