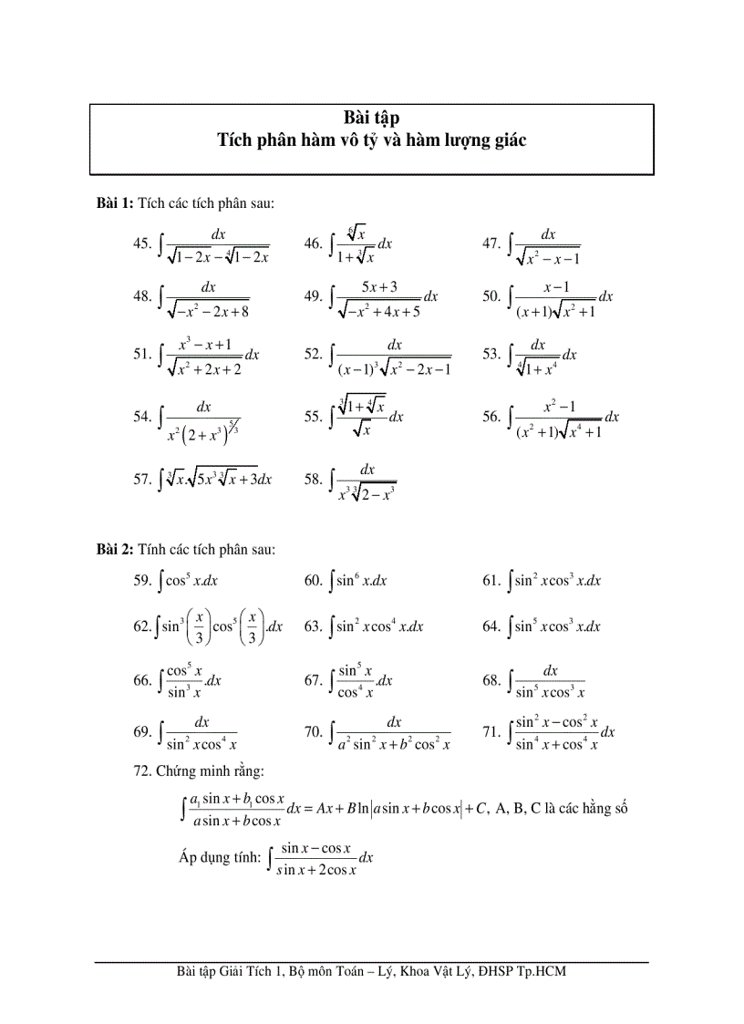
Bài tập Tích phân hàm vô tỷ và hàm lượng giác

Bài tập Tích phân hàm vô tỷ và hàm lượng giác

Tài liệu "Bài tập Tích phân hàm vô tỷ và hàm lượng giác" có mã là 547698, file định dạng pdf, có 1 trang, dung lượng file 39 kb. Tài liệu thuộc chuyên mục: Tài liệu chuyên ngành > Các Môn Đại Cương > Đại Số Tuyến Tính. Tài liệu thuộc loại Đồng

image for page Bài tập Tích phân hàm vô tỷ và hàm lượng giác
hàm lượng tập hàm Bài tập Tích phân hàm phân Bài tập Tích phân hàm vô tỷ Bài Bài tập Tích phân giác Bài tập tỷ tỷ và Bài tập Tích Tích Tích phân hàm Bài tập Tích phân hàm vô hàm vô Bài tập lượng

Mã tài liệu 547698

Các chức năng trên hệ thống được hướng dẫn đầy đủ và chi tiết nhất qua các video. Bạn click vào nút bên dưới để xem.

Có thể tài liệu Bài tập Tích phân hàm vô tỷ và hàm lượng giác sử dụng nhiều loại font chữ mà máy tính bạn chưa có.
Bạn click vào nút bên dưới để tải chương trình cài đặt bộ font chữ đầy đủ nhất cho bạn.

Nếu phần nội dung, hình ảnh ,... trong tài liệu Bài tập Tích phân hàm vô tỷ và hàm lượng giác có liên quan đến vi phạm bản quyền, bạn vui lòng click bên dưới báo cho chúng tôi biết.

Tài liệu vừa xem

Bài tập
Bài tập Tích phân
Bài tập Tích phân hàm
Bài tập Tích
Bài tập Tích phân hàm vô tỷ
Bài tập Tích phân hàm vô