Bài tập Tích phân không xác định

Bài tập Tích phân không xác định

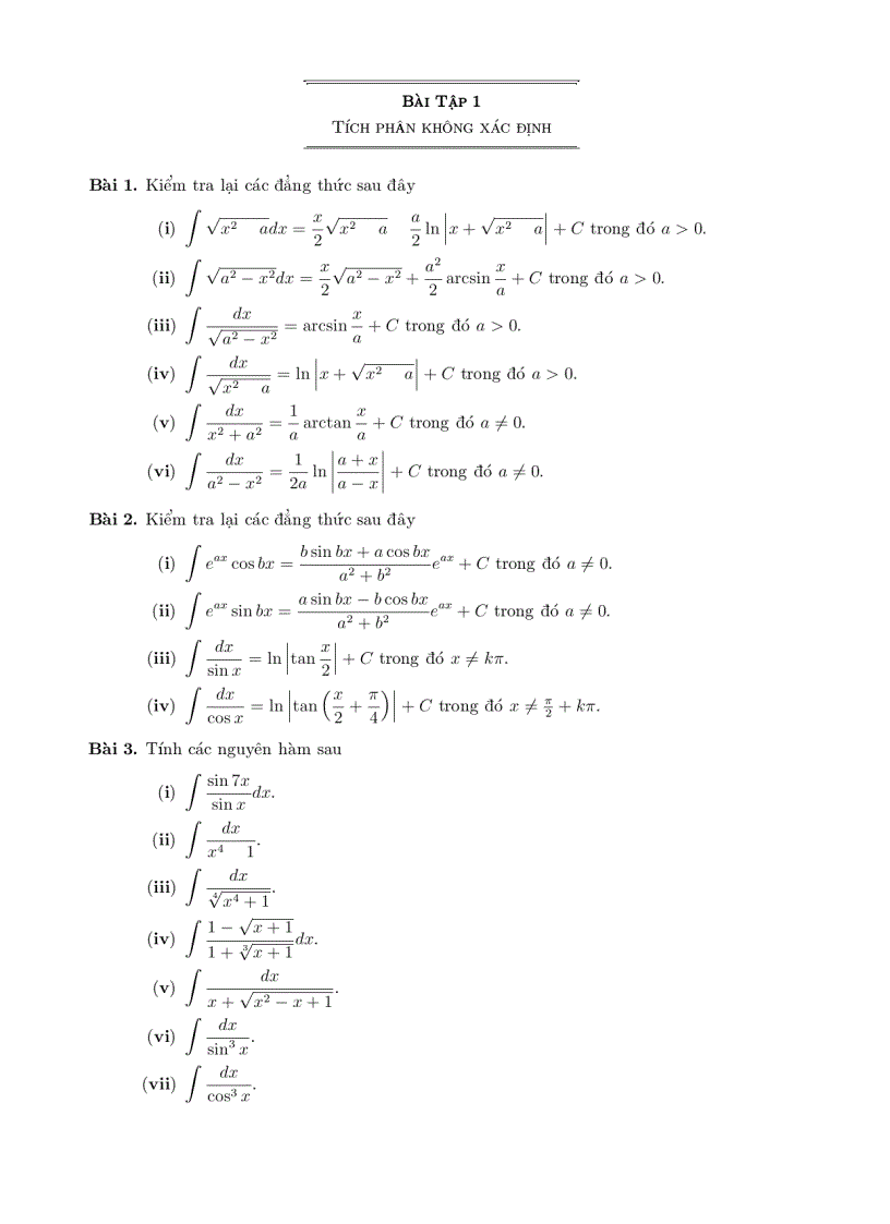
Tài liệu "Bài tập Tích phân không xác định" có mã là 547699, file định dạng pdf, có 2 trang, dung lượng file 46 kb. Tài liệu thuộc chuyên mục: Tài liệu chuyên ngành > Các Môn Đại Cương > Đại Số Tuyến Tính. Tài liệu thuộc loại Đồng

image for page Bài tập Tích phân không xác định
image for page Bài tập Tích phân không xác định
Tích phân Tích không Bài tập Bài tập Tích phân không không xác Bài Bài tập Tích phân không xác Bài tập Tích phân xác Bài tập định tập phân Bài tập Tích

Mã tài liệu 547699

Các chức năng trên hệ thống được hướng dẫn đầy đủ và chi tiết nhất qua các video. Bạn click vào nút bên dưới để xem.

Có thể tài liệu Bài tập Tích phân không xác định sử dụng nhiều loại font chữ mà máy tính bạn chưa có.
Bạn click vào nút bên dưới để tải chương trình cài đặt bộ font chữ đầy đủ nhất cho bạn.

Nếu phần nội dung, hình ảnh ,... trong tài liệu Bài tập Tích phân không xác định có liên quan đến vi phạm bản quyền, bạn vui lòng click bên dưới báo cho chúng tôi biết.

Tài liệu vừa xem

Bài tập Tích phân không xác
Bài tập Tích
Bài tập
Bài tập Tích phân không
Bài tập Tích phân