Bài tập về axit cacboxylic

Bài tập về axit cacboxylic

Tài liệu "Bài tập về axit cacboxylic" có mã là 391830, file định dạng doc, có 5 trang Tài liệu thuộc chuyên mục: Tài liệu phổ thông > Hóa Học > Hóa học Lớp 12. Tài liệu thuộc loại Đồng

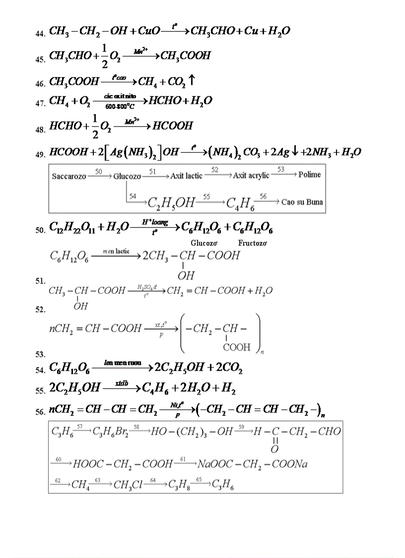
image for page Bài tập về axit cacboxylic
image for page Bài tập về axit cacboxylic
image for page Bài tập về axit cacboxylic
image for page Bài tập về axit cacboxylic
image for page Bài tập về axit cacboxylic

Mã tài liệu 391830

Các chức năng trên hệ thống được hướng dẫn đầy đủ và chi tiết nhất qua các video. Bạn click vào nút bên dưới để xem.

Có thể tài liệu Bài tập về axit cacboxylic sử dụng nhiều loại font chữ mà máy tính bạn chưa có.
Bạn click vào nút bên dưới để tải chương trình cài đặt bộ font chữ đầy đủ nhất cho bạn.

Nếu phần nội dung, hình ảnh ,... trong tài liệu Bài tập về axit cacboxylic có liên quan đến vi phạm bản quyền, bạn vui lòng click bên dưới báo cho chúng tôi biết.

Tài liệu vừa xem