Bất đẳng thức 1

Bất đẳng thức 1

Tài liệu "Bất đẳng thức 1" có mã là 330170, file định dạng doc, có 6 trang, dung lượng file 286 kb. Tài liệu thuộc chuyên mục: Tài liệu phổ thông > Cao đẳng, Đại Học > Toán Học. Tài liệu thuộc loại Đồng

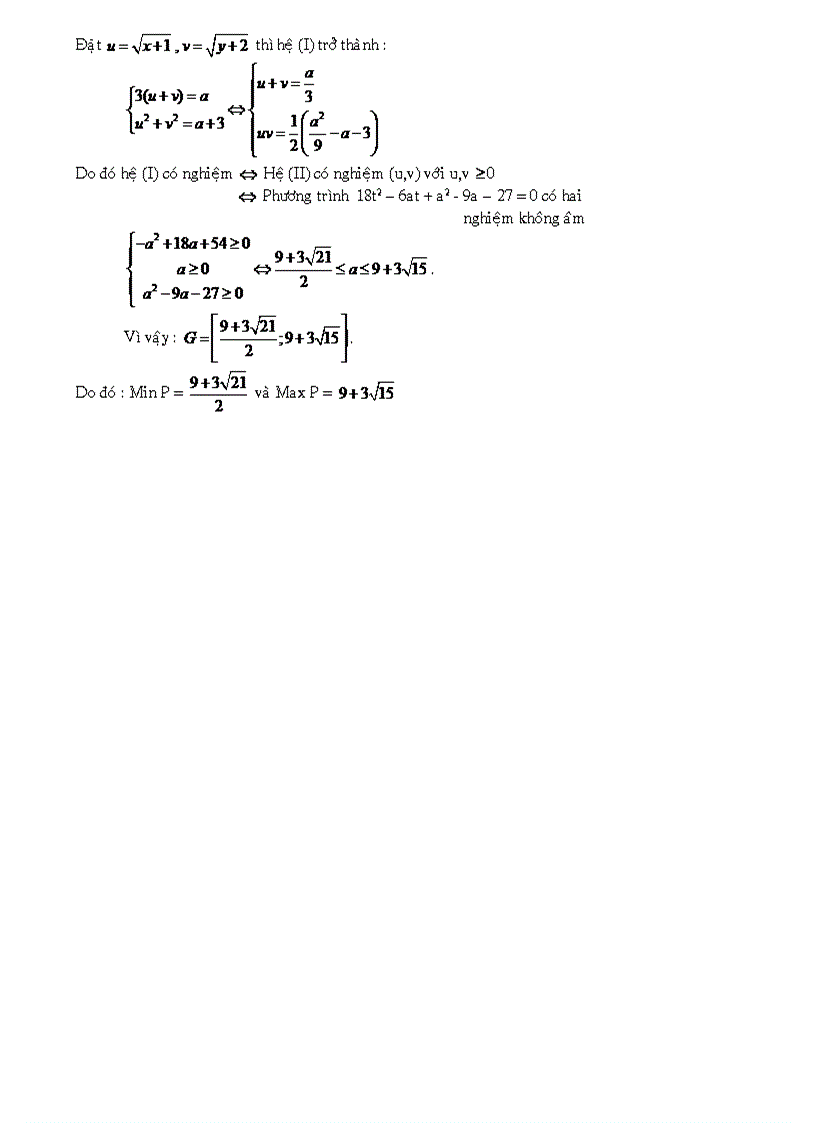
image for page Bất đẳng thức 1
image for page Bất đẳng thức 1
image for page Bất đẳng thức 1
image for page Bất đẳng thức 1
image for page Bất đẳng thức 1
image for page Bất đẳng thức 1

Mã tài liệu 330170

Các chức năng trên hệ thống được hướng dẫn đầy đủ và chi tiết nhất qua các video. Bạn click vào nút bên dưới để xem.

Có thể tài liệu Bất đẳng thức 1 sử dụng nhiều loại font chữ mà máy tính bạn chưa có.
Bạn click vào nút bên dưới để tải chương trình cài đặt bộ font chữ đầy đủ nhất cho bạn.

Nếu phần nội dung, hình ảnh ,... trong tài liệu Bất đẳng thức 1 có liên quan đến vi phạm bản quyền, bạn vui lòng click bên dưới báo cho chúng tôi biết.

Tài liệu vừa xem