Bơm cánh gạt

Bơm cánh gạt

Tài liệu "Bơm cánh gạt" có mã là 585955, file định dạng doc, có 11 trang, dung lượng file 324 kb. Tài liệu thuộc chuyên mục: Tài liệu chuyên ngành > Kỹ Thuật Công Nghệ > Cơ Khí - Nhiệt Lạnh. Tài liệu thuộc loại Đồng

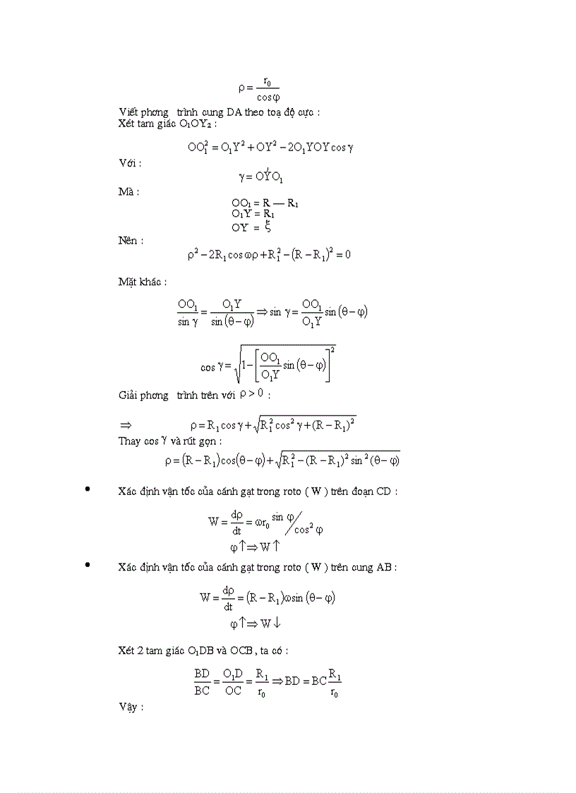
image for page Bơm cánh gạt
image for page Bơm cánh gạt
image for page Bơm cánh gạt
image for page Bơm cánh gạt
image for page Bơm cánh gạt
image for page Bơm cánh gạt
image for page Bơm cánh gạt
image for page Bơm cánh gạt
image for page Bơm cánh gạt
image for page Bơm cánh gạt
image for page Bơm cánh gạt

Mã tài liệu 585955

Các chức năng trên hệ thống được hướng dẫn đầy đủ và chi tiết nhất qua các video. Bạn click vào nút bên dưới để xem.

Có thể tài liệu Bơm cánh gạt sử dụng nhiều loại font chữ mà máy tính bạn chưa có.
Bạn click vào nút bên dưới để tải chương trình cài đặt bộ font chữ đầy đủ nhất cho bạn.

Nếu phần nội dung, hình ảnh ,... trong tài liệu Bơm cánh gạt có liên quan đến vi phạm bản quyền, bạn vui lòng click bên dưới báo cho chúng tôi biết.

Tài liệu vừa xem