Bt crom kẽm

Bt crom kẽm

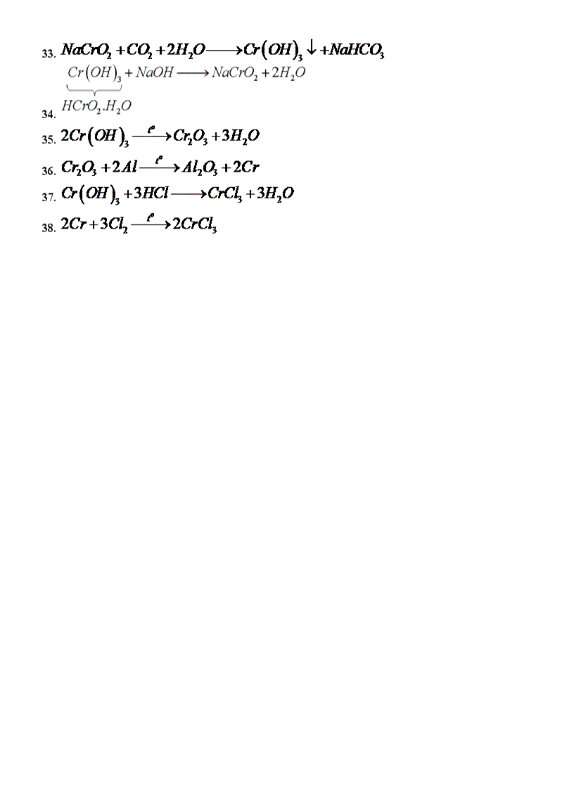
Tài liệu "Bt crom kẽm" có mã là 392015, file định dạng zip, có 3 trang Tài liệu thuộc chuyên mục: Tài liệu phổ thông > Hóa Học > Hóa học Lớp 12. Tài liệu thuộc loại Đồng

image for page Bt crom kẽm
image for page Bt crom kẽm
image for page Bt crom kẽm

Mã tài liệu 392015

Các chức năng trên hệ thống được hướng dẫn đầy đủ và chi tiết nhất qua các video. Bạn click vào nút bên dưới để xem.

Có thể tài liệu Bt crom kẽm sử dụng nhiều loại font chữ mà máy tính bạn chưa có.
Bạn click vào nút bên dưới để tải chương trình cài đặt bộ font chữ đầy đủ nhất cho bạn.

Nếu phần nội dung, hình ảnh ,... trong tài liệu Bt crom kẽm có liên quan đến vi phạm bản quyền, bạn vui lòng click bên dưới báo cho chúng tôi biết.

Tài liệu vừa xem