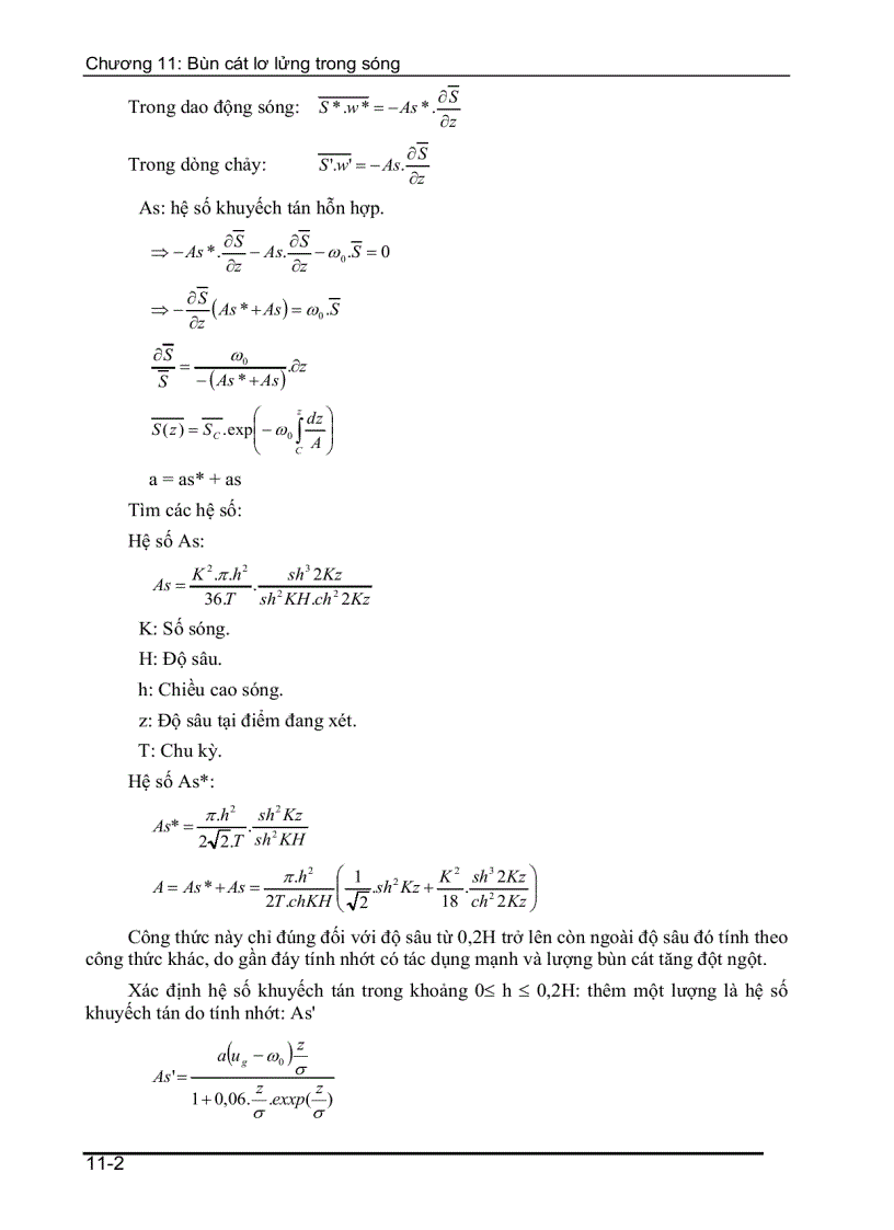
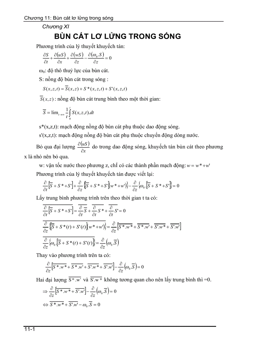
Bùn cát lơ lửng trong sóng

Bùn cát lơ lửng trong sóng

Tài liệu "Bùn cát lơ lửng trong sóng" có mã là 584980, file định dạng pdf, có 3 trang, dung lượng file 194 kb. Tài liệu thuộc chuyên mục: Tài liệu chuyên ngành > Kỹ Thuật Công Nghệ > Kiến Trúc - Xây Dựng. Tài liệu thuộc loại Đồng

image for page Bùn cát lơ lửng trong sóng
image for page Bùn cát lơ lửng trong sóng
image for page Bùn cát lơ lửng trong sóng
Bùn cát lửng Bùn cát lơ lửng Bùn cát lơ lửng trong trong Bùn cát lơ trong sóng sóng cát Bùn Bùn cát lơ lửng

Mã tài liệu 584980

Các chức năng trên hệ thống được hướng dẫn đầy đủ và chi tiết nhất qua các video. Bạn click vào nút bên dưới để xem.

Có thể tài liệu Bùn cát lơ lửng trong sóng sử dụng nhiều loại font chữ mà máy tính bạn chưa có.
Bạn click vào nút bên dưới để tải chương trình cài đặt bộ font chữ đầy đủ nhất cho bạn.

Nếu phần nội dung, hình ảnh ,... trong tài liệu Bùn cát lơ lửng trong sóng có liên quan đến vi phạm bản quyền, bạn vui lòng click bên dưới báo cho chúng tôi biết.

Tài liệu vừa xem

Bùn cát lơ lửng
Bùn cát lơ
Bùn cát
Bùn cát lơ lửng trong