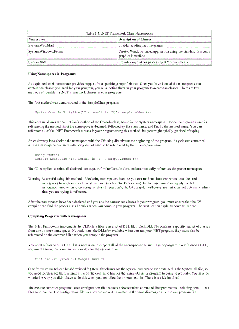
C Network Programming

C Network Programming

Tài liệu "C Network Programming" có mã là 568123, file định dạng rar, có 427 trang, dung lượng file 3,268 kb. Tài liệu thuộc chuyên mục: Tài liệu chuyên ngành > Chuyên Ngành Kinh Tế > Kế Toán - Kiểm Toán. Tài liệu thuộc loại Bạc

image for page C Network Programming
image for page C Network Programming
image for page C Network Programming
image for page C Network Programming
image for page C Network Programming
image for page C Network Programming
image for page C Network Programming
image for page C Network Programming
image for page C Network Programming
image for page C Network Programming
image for page C Network Programming
image for page C Network Programming
image for page C Network Programming
image for page C Network Programming
image for page C Network Programming
image for page C Network Programming
image for page C Network Programming
image for page C Network Programming
image for page C Network Programming
image for page C Network Programming
image for page C Network Programming
image for page C Network Programming
image for page C Network Programming
image for page C Network Programming
image for page C Network Programming
image for page C Network Programming
image for page C Network Programming
image for page C Network Programming
image for page C Network Programming
image for page C Network Programming
image for page C Network Programming
image for page C Network Programming
image for page C Network Programming
image for page C Network Programming
image for page C Network Programming
image for page C Network Programming
image for page C Network Programming

Mã tài liệu 568123

Các chức năng trên hệ thống được hướng dẫn đầy đủ và chi tiết nhất qua các video. Bạn click vào nút bên dưới để xem.

Có thể tài liệu C Network Programming sử dụng nhiều loại font chữ mà máy tính bạn chưa có.
Bạn click vào nút bên dưới để tải chương trình cài đặt bộ font chữ đầy đủ nhất cho bạn.

Nếu phần nội dung, hình ảnh ,... trong tài liệu C Network Programming có liên quan đến vi phạm bản quyền, bạn vui lòng click bên dưới báo cho chúng tôi biết.

Tài liệu vừa xem