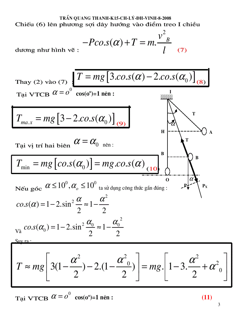
CM công thức tính vận tốc lực căng dây của Con lắc đơn

CM công thức tính vận tốc lực căng dây của Con lắc đơn

Tài liệu "CM công thức tính vận tốc lực căng dây của Con lắc đơn" có mã là 573603, file định dạng pdf, có 8 trang, dung lượng file 212 kb. Tài liệu thuộc chuyên mục: Tài liệu chuyên ngành > Chuyên Ngành Kinh Tế > Kế Toán - Kiểm Toán. Tài liệu thuộc loại Đồng

image for page CM công thức tính vận tốc lực căng dây của Con lắc đơn
image for page CM công thức tính vận tốc lực căng dây của Con lắc đơn
image for page CM công thức tính vận tốc lực căng dây của Con lắc đơn
image for page CM công thức tính vận tốc lực căng dây của Con lắc đơn
image for page CM công thức tính vận tốc lực căng dây của Con lắc đơn
image for page CM công thức tính vận tốc lực căng dây của Con lắc đơn
image for page CM công thức tính vận tốc lực căng dây của Con lắc đơn
image for page CM công thức tính vận tốc lực căng dây của Con lắc đơn
vận lực căng CM thức tính căng CM công thức tính lắc Con lắc CM công thức tính vận tốc lực đơn dây của CM công thức CM công thức tính vận Con tốc CM công thức tính vận tốc vận tốc dây thức CM công lực tính của CM công công

Mã tài liệu 573603

Các chức năng trên hệ thống được hướng dẫn đầy đủ và chi tiết nhất qua các video. Bạn click vào nút bên dưới để xem.

Có thể tài liệu CM công thức tính vận tốc lực căng dây của Con lắc đơn sử dụng nhiều loại font chữ mà máy tính bạn chưa có.
Bạn click vào nút bên dưới để tải chương trình cài đặt bộ font chữ đầy đủ nhất cho bạn.

Nếu phần nội dung, hình ảnh ,... trong tài liệu CM công thức tính vận tốc lực căng dây của Con lắc đơn có liên quan đến vi phạm bản quyền, bạn vui lòng click bên dưới báo cho chúng tôi biết.

Tài liệu vừa xem

CM công thức tính vận tốc
CM công thức
CM công thức tính vận
CM công thức tính
CM công thức tính vận tốc lực
CM công