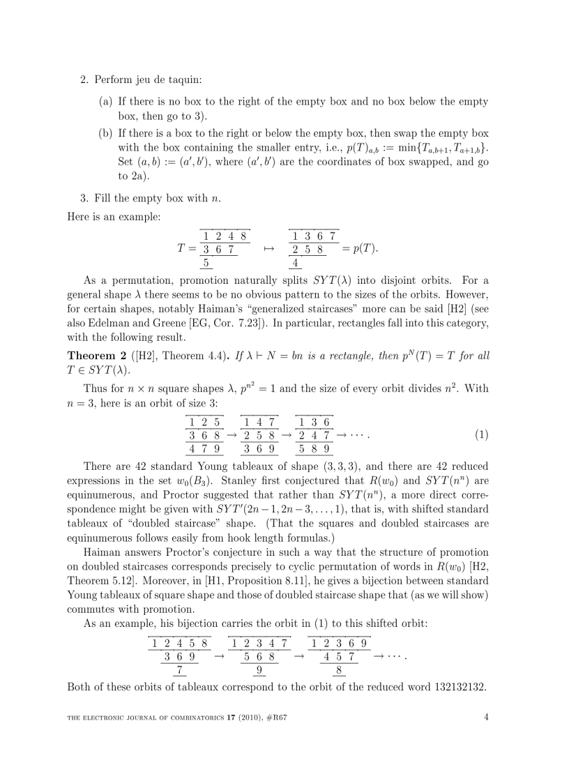
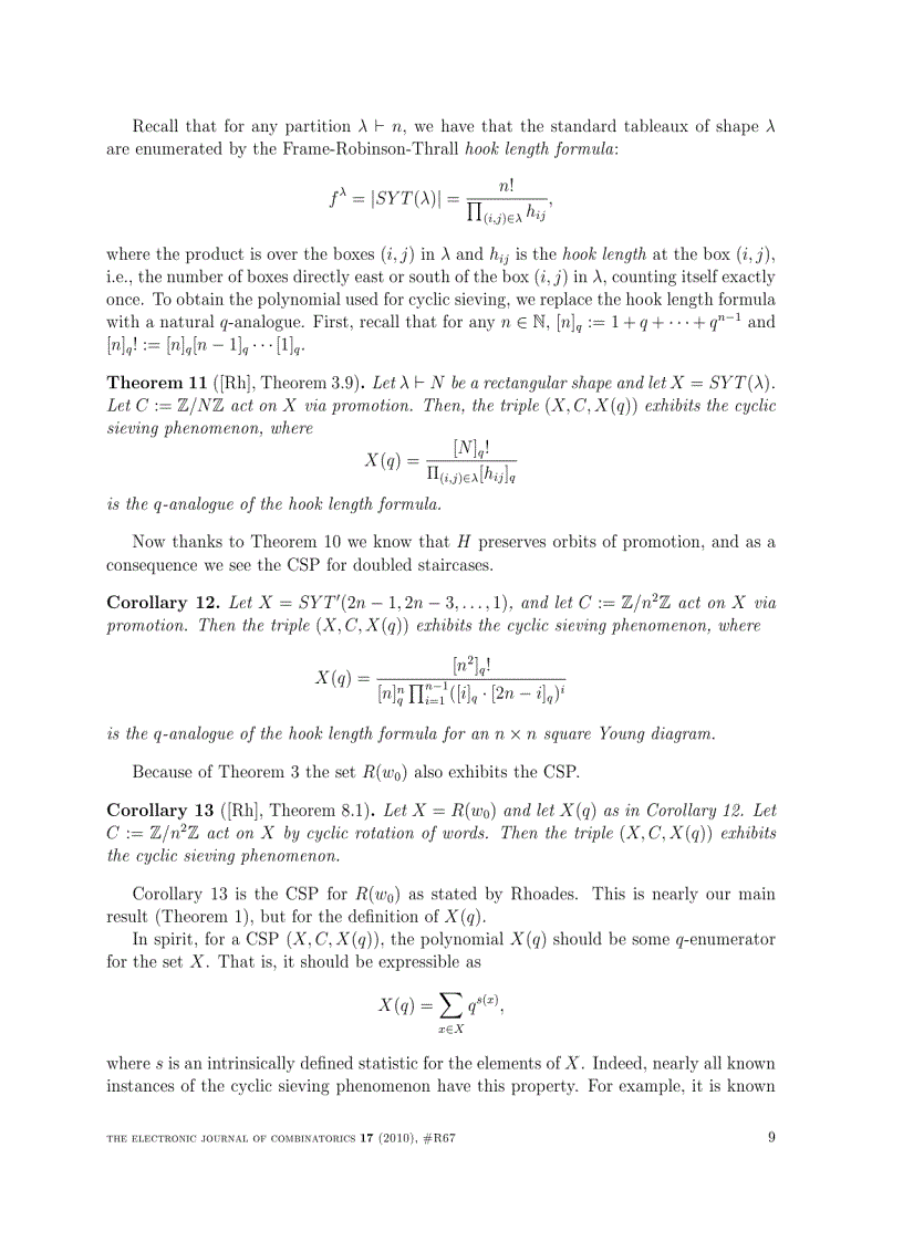
Cyclic sieving for longest reduced words in the hyperoctahedral group

Cyclic sieving for longest reduced words in the hyperoctahedral group

Tài liệu "Cyclic sieving for longest reduced words in the hyperoctahedral group" có mã là 610595, file định dạng pdf, có 12 trang, dung lượng file 152 kb. Tài liệu thuộc chuyên mục: Sách điện tử > Ngoại ngữ. Tài liệu thuộc loại Đồng

image for page Cyclic sieving for longest reduced words in the hyperoctahedral group
image for page Cyclic sieving for longest reduced words in the hyperoctahedral group
image for page Cyclic sieving for longest reduced words in the hyperoctahedral group
image for page Cyclic sieving for longest reduced words in the hyperoctahedral group
image for page Cyclic sieving for longest reduced words in the hyperoctahedral group
image for page Cyclic sieving for longest reduced words in the hyperoctahedral group
image for page Cyclic sieving for longest reduced words in the hyperoctahedral group
image for page Cyclic sieving for longest reduced words in the hyperoctahedral group
image for page Cyclic sieving for longest reduced words in the hyperoctahedral group
image for page Cyclic sieving for longest reduced words in the hyperoctahedral group
image for page Cyclic sieving for longest reduced words in the hyperoctahedral group
image for page Cyclic sieving for longest reduced words in the hyperoctahedral group
hyperoctahedral for Cyclic sieving for Cyclic sieving for longest reduced words Cyclic sieving reduced in the Cyclic sieving longest Cyclic sieving for longest reduced words in Cyclic sieving for longest sieving reduced words the hyperoctahedral group words Cyclic Cyclic sieving for longest reduced group in for longest

Mã tài liệu 610595

Các chức năng trên hệ thống được hướng dẫn đầy đủ và chi tiết nhất qua các video. Bạn click vào nút bên dưới để xem.

Có thể tài liệu Cyclic sieving for longest reduced words in the hyperoctahedral group sử dụng nhiều loại font chữ mà máy tính bạn chưa có.
Bạn click vào nút bên dưới để tải chương trình cài đặt bộ font chữ đầy đủ nhất cho bạn.

Nếu phần nội dung, hình ảnh ,... trong tài liệu Cyclic sieving for longest reduced words in the hyperoctahedral group có liên quan đến vi phạm bản quyền, bạn vui lòng click bên dưới báo cho chúng tôi biết.

Tài liệu vừa xem

Cyclic sieving for longest reduced words in
Cyclic sieving for
Cyclic sieving for longest
Cyclic sieving for longest reduced
Cyclic sieving for longest reduced words
Cyclic sieving