Đề thi vật lí đại cương 12

Đề thi vật lí đại cương 12

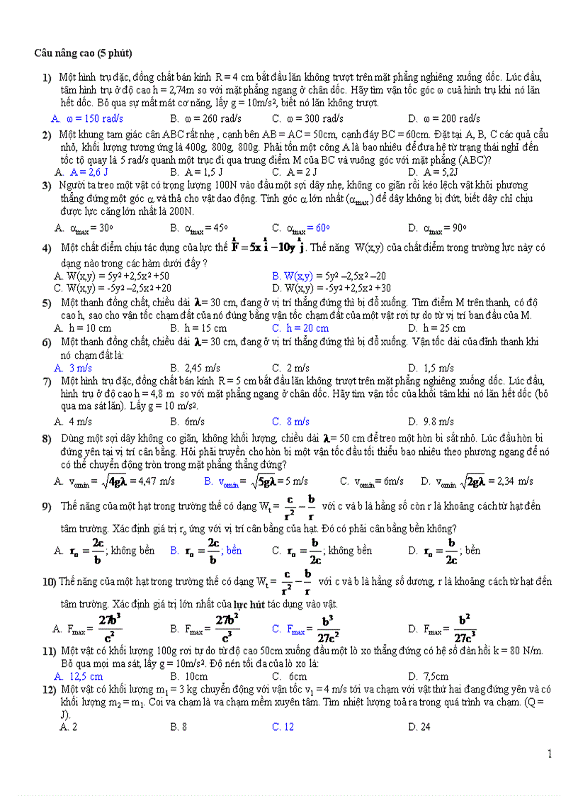
Tài liệu "Đề thi vật lí đại cương 12" có mã là 597293, file định dạng docx, có 2 trang, dung lượng file 37 kb. Tài liệu thuộc chuyên mục: Tài liệu chuyên ngành > Tài Liệu Ôn Thi > Đại Cương. Tài liệu thuộc loại Đồng

image for page Đề thi vật lí đại cương 12
image for page Đề thi vật lí đại cương 12
Đề thi vật lí đại cương Đề thi vật lí đại Đề thi Đề thi vật thi đại cương Đề vật 12 vật lí Đề thi vật lí Đề thi đại cương

Mã tài liệu 597293

Các chức năng trên hệ thống được hướng dẫn đầy đủ và chi tiết nhất qua các video. Bạn click vào nút bên dưới để xem.

Có thể tài liệu Đề thi vật lí đại cương 12 sử dụng nhiều loại font chữ mà máy tính bạn chưa có.
Bạn click vào nút bên dưới để tải chương trình cài đặt bộ font chữ đầy đủ nhất cho bạn.

Nếu phần nội dung, hình ảnh ,... trong tài liệu Đề thi vật lí đại cương 12 có liên quan đến vi phạm bản quyền, bạn vui lòng click bên dưới báo cho chúng tôi biết.

Tài liệu vừa xem

Đề thi vật lí đại
Đề thi vật lí đại cương
Đề thi
Đề thi vật
Đề thi vật lí