Điều khiển công suất trong hệ thống mc cdma

Điều khiển công suất trong hệ thống mc cdma

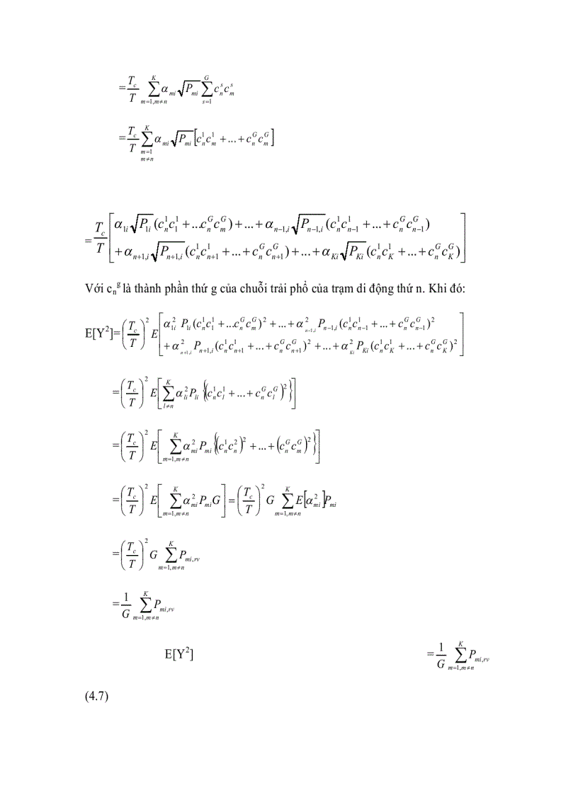
Tài liệu "Điều khiển công suất trong hệ thống mc cdma" có mã là 586116, file định dạng pdf, có 11 trang, dung lượng file 223 kb. Tài liệu thuộc chuyên mục: Tài liệu chuyên ngành > Kỹ Thuật Công Nghệ > Viễn Thông. Tài liệu thuộc loại Đồng

image for page Điều khiển công suất trong hệ thống mc cdma
image for page Điều khiển công suất trong hệ thống mc cdma
image for page Điều khiển công suất trong hệ thống mc cdma
image for page Điều khiển công suất trong hệ thống mc cdma
image for page Điều khiển công suất trong hệ thống mc cdma
image for page Điều khiển công suất trong hệ thống mc cdma
image for page Điều khiển công suất trong hệ thống mc cdma
image for page Điều khiển công suất trong hệ thống mc cdma
image for page Điều khiển công suất trong hệ thống mc cdma
image for page Điều khiển công suất trong hệ thống mc cdma
image for page Điều khiển công suất trong hệ thống mc cdma
Điều khiển công suất trong hệ khiển hệ Điều khiển công suất trong hệ thống Điều khiển công Điều khiển công suất thống mc cdma suất Điều khiển Điều khiển trong mc trong hệ công suất thống Điều công Điều khiển công suất trong

Mã tài liệu 586116

Các chức năng trên hệ thống được hướng dẫn đầy đủ và chi tiết nhất qua các video. Bạn click vào nút bên dưới để xem.

Có thể tài liệu Điều khiển công suất trong hệ thống mc cdma sử dụng nhiều loại font chữ mà máy tính bạn chưa có.
Bạn click vào nút bên dưới để tải chương trình cài đặt bộ font chữ đầy đủ nhất cho bạn.

Nếu phần nội dung, hình ảnh ,... trong tài liệu Điều khiển công suất trong hệ thống mc cdma có liên quan đến vi phạm bản quyền, bạn vui lòng click bên dưới báo cho chúng tôi biết.

Tài liệu vừa xem

Điều khiển
Điều khiển công suất
Điều khiển công suất trong hệ thống
Điều khiển công
Điều khiển công suất trong
Điều khiển công suất trong hệ