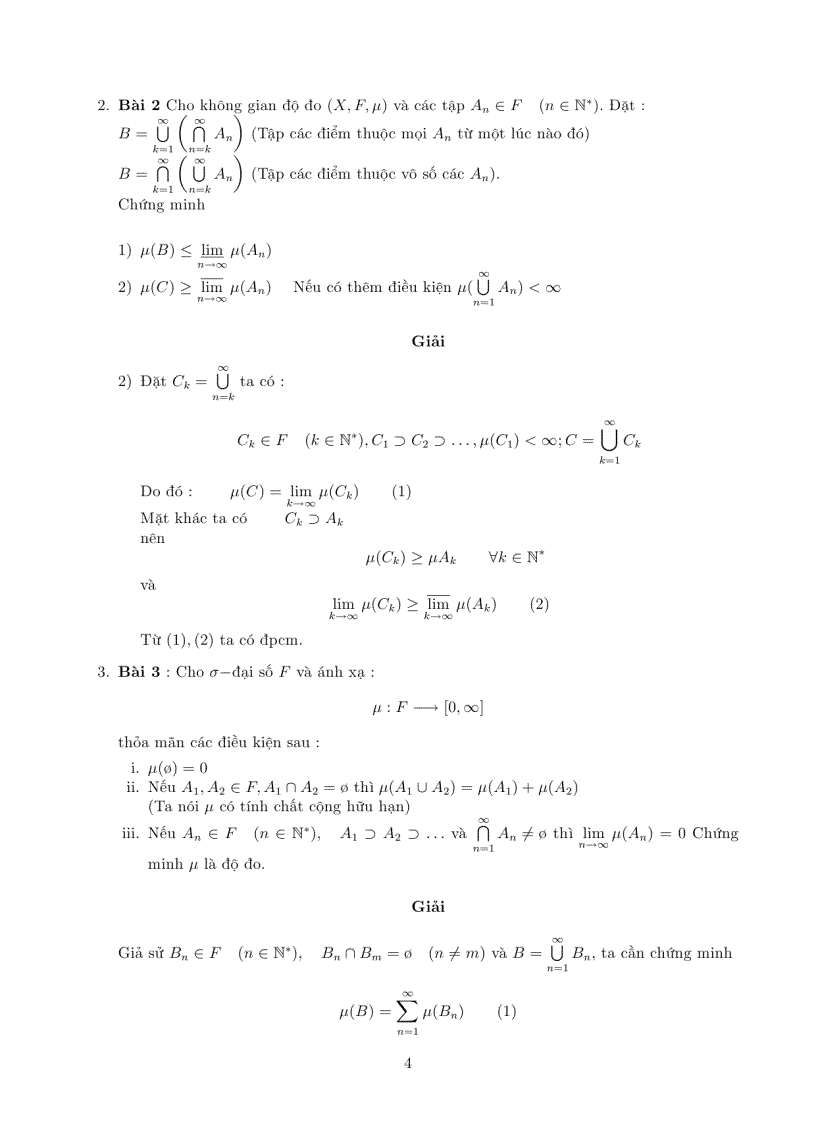
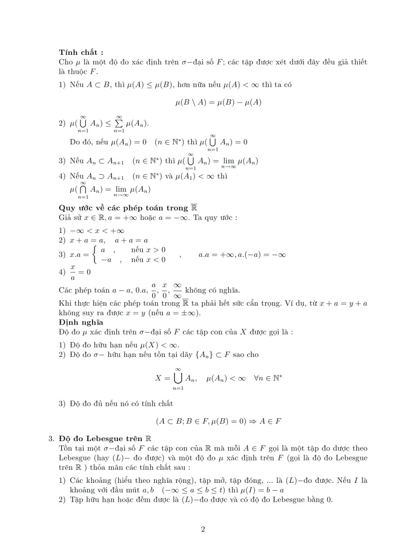
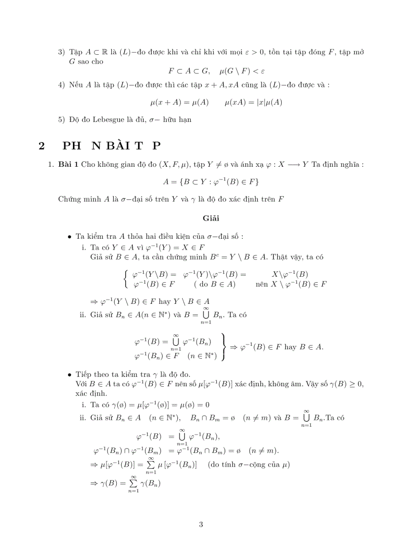
Đo độ và tích phân

Đo độ và tích phân

Tài liệu "Đo độ và tích phân" có mã là 580661, file định dạng pdf, có 6 trang, dung lượng file 111 kb. Tài liệu thuộc chuyên mục: Tài liệu chuyên ngành > Các Môn Đại Cương > Giải Tích. Tài liệu thuộc loại Đồng

image for page Đo độ và tích phân
image for page Đo độ và tích phân
image for page Đo độ và tích phân
image for page Đo độ và tích phân
image for page Đo độ và tích phân
image for page Đo độ và tích phân

Mã tài liệu 580661

Các chức năng trên hệ thống được hướng dẫn đầy đủ và chi tiết nhất qua các video. Bạn click vào nút bên dưới để xem.

Có thể tài liệu Đo độ và tích phân sử dụng nhiều loại font chữ mà máy tính bạn chưa có.
Bạn click vào nút bên dưới để tải chương trình cài đặt bộ font chữ đầy đủ nhất cho bạn.

Nếu phần nội dung, hình ảnh ,... trong tài liệu Đo độ và tích phân có liên quan đến vi phạm bản quyền, bạn vui lòng click bên dưới báo cho chúng tôi biết.

Tài liệu vừa xem