Giáo án giải tích phần tích phân

Giáo án giải tích phần tích phân

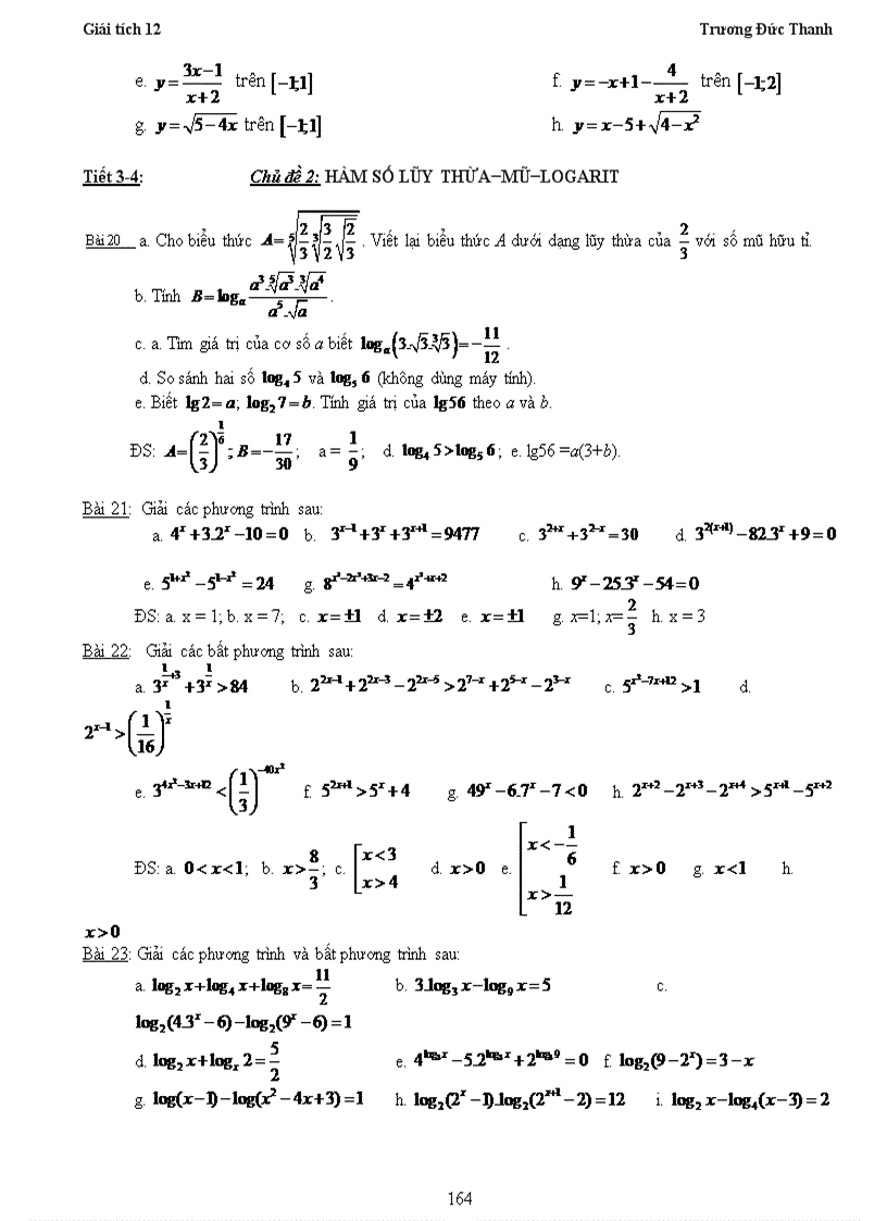
Tài liệu "Giáo án giải tích phần tích phân" có mã là 560148, file định dạng doc, có 58 trang, dung lượng file 2,592 kb. Tài liệu thuộc chuyên mục: Tài liệu chuyên ngành > Chuyên Ngành Kinh Tế > Kế Toán - Kiểm Toán. Tài liệu thuộc loại Bạc

image for page Giáo án giải tích phần tích phân
image for page Giáo án giải tích phần tích phân
image for page Giáo án giải tích phần tích phân
image for page Giáo án giải tích phần tích phân
image for page Giáo án giải tích phần tích phân
image for page Giáo án giải tích phần tích phân
image for page Giáo án giải tích phần tích phân
image for page Giáo án giải tích phần tích phân
image for page Giáo án giải tích phần tích phân
image for page Giáo án giải tích phần tích phân
image for page Giáo án giải tích phần tích phân
image for page Giáo án giải tích phần tích phân
image for page Giáo án giải tích phần tích phân
image for page Giáo án giải tích phần tích phân
image for page Giáo án giải tích phần tích phân
image for page Giáo án giải tích phần tích phân
image for page Giáo án giải tích phần tích phân
image for page Giáo án giải tích phần tích phân
image for page Giáo án giải tích phần tích phân
image for page Giáo án giải tích phần tích phân
image for page Giáo án giải tích phần tích phân
image for page Giáo án giải tích phần tích phân
image for page Giáo án giải tích phần tích phân
image for page Giáo án giải tích phần tích phân
image for page Giáo án giải tích phần tích phân
Giáo Giáo án án phân phần tích Giáo án giải tích phần phần giải tích tích Giáo án giải tích Giáo án giải tích phần tích Giáo án Giáo án giải giải tích

Mã tài liệu 560148

Các chức năng trên hệ thống được hướng dẫn đầy đủ và chi tiết nhất qua các video. Bạn click vào nút bên dưới để xem.

Có thể tài liệu Giáo án giải tích phần tích phân sử dụng nhiều loại font chữ mà máy tính bạn chưa có.
Bạn click vào nút bên dưới để tải chương trình cài đặt bộ font chữ đầy đủ nhất cho bạn.

Nếu phần nội dung, hình ảnh ,... trong tài liệu Giáo án giải tích phần tích phân có liên quan đến vi phạm bản quyền, bạn vui lòng click bên dưới báo cho chúng tôi biết.

Tài liệu vừa xem

Giáo án
Giáo án giải tích
Giáo án giải tích phần
Giáo án giải tích phần tích
Giáo án giải