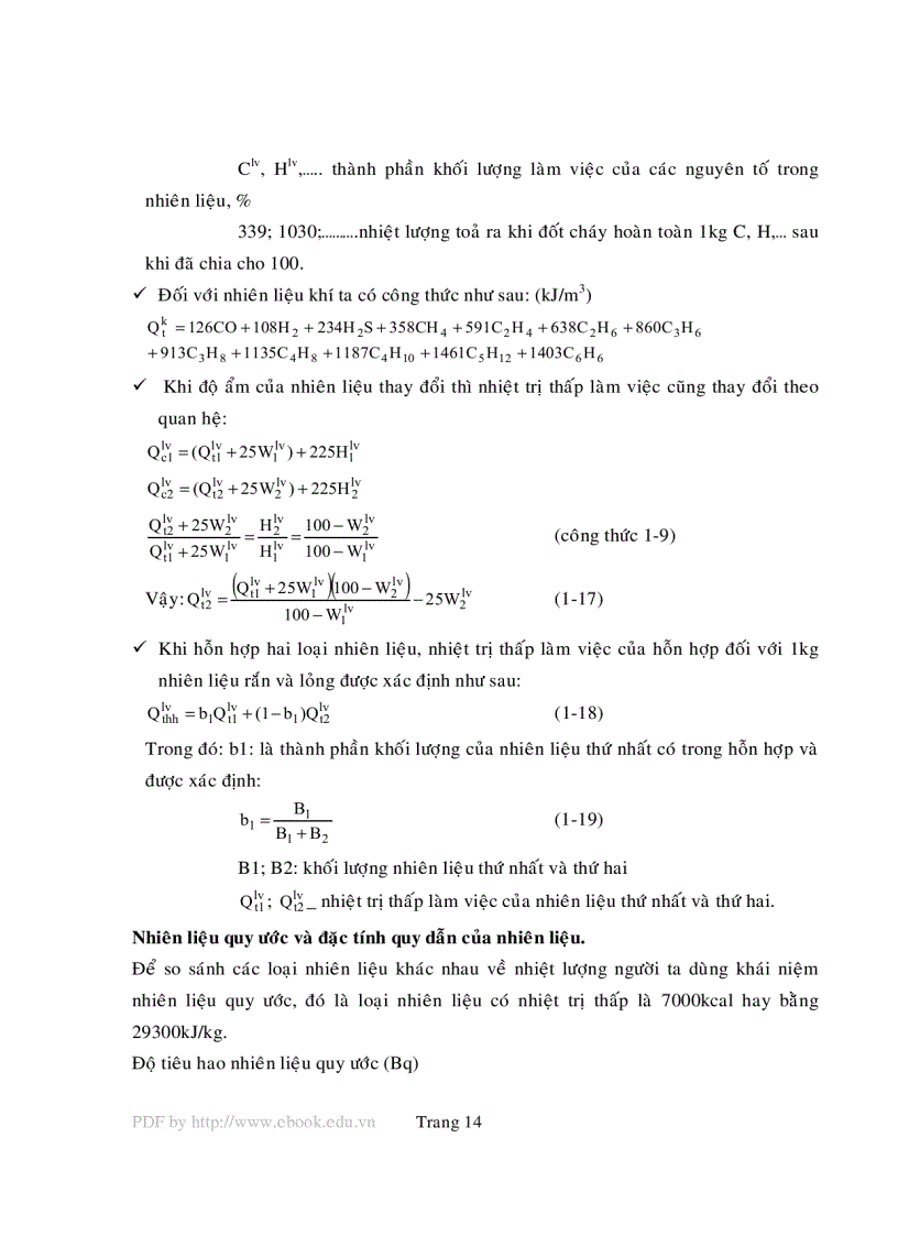
Giáo án môn học lò hơi

Giáo án môn học lò hơi

Tài liệu "Giáo án môn học lò hơi" có mã là 590956, file định dạng pdf, có 35 trang, dung lượng file 289 kb. Tài liệu thuộc chuyên mục: Tài liệu chuyên ngành > Kỹ Thuật Công Nghệ > Cơ Khí - Nhiệt Lạnh. Tài liệu thuộc loại Bạc

image for page Giáo án môn học lò hơi
image for page Giáo án môn học lò hơi
image for page Giáo án môn học lò hơi
image for page Giáo án môn học lò hơi
image for page Giáo án môn học lò hơi
image for page Giáo án môn học lò hơi
image for page Giáo án môn học lò hơi
image for page Giáo án môn học lò hơi
image for page Giáo án môn học lò hơi
image for page Giáo án môn học lò hơi
image for page Giáo án môn học lò hơi
image for page Giáo án môn học lò hơi
image for page Giáo án môn học lò hơi
image for page Giáo án môn học lò hơi
image for page Giáo án môn học lò hơi
image for page Giáo án môn học lò hơi
image for page Giáo án môn học lò hơi
image for page Giáo án môn học lò hơi
image for page Giáo án môn học lò hơi
Giáo án học Giáo án môn học Giáo án môn học lò hơi môn Giáo án Giáo án môn học Giáo án môn lò hơi

Mã tài liệu 590956

Các chức năng trên hệ thống được hướng dẫn đầy đủ và chi tiết nhất qua các video. Bạn click vào nút bên dưới để xem.

Có thể tài liệu Giáo án môn học lò hơi sử dụng nhiều loại font chữ mà máy tính bạn chưa có.
Bạn click vào nút bên dưới để tải chương trình cài đặt bộ font chữ đầy đủ nhất cho bạn.

Nếu phần nội dung, hình ảnh ,... trong tài liệu Giáo án môn học lò hơi có liên quan đến vi phạm bản quyền, bạn vui lòng click bên dưới báo cho chúng tôi biết.

Tài liệu vừa xem

Giáo án môn học
Giáo án
Giáo án môn
Giáo án môn học lò