Giáo án ôn thi vào lớp 10

Giáo án ôn thi vào lớp 10

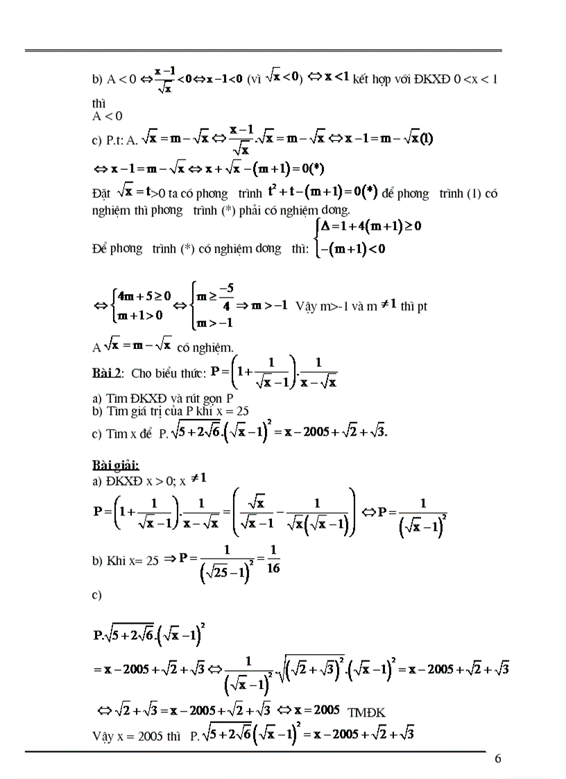
Tài liệu "Giáo án ôn thi vào lớp 10" có mã là 419168, file định dạng rar, có 45 trang, dung lượng file 627 kb. Tài liệu thuộc chuyên mục: Tài liệu phổ thông > Mẫu giáo, Mầm non. Tài liệu thuộc loại Bạc

image for page Giáo án ôn thi vào lớp 10
image for page Giáo án ôn thi vào lớp 10
image for page Giáo án ôn thi vào lớp 10
image for page Giáo án ôn thi vào lớp 10
image for page Giáo án ôn thi vào lớp 10
image for page Giáo án ôn thi vào lớp 10
image for page Giáo án ôn thi vào lớp 10
image for page Giáo án ôn thi vào lớp 10
image for page Giáo án ôn thi vào lớp 10
image for page Giáo án ôn thi vào lớp 10
image for page Giáo án ôn thi vào lớp 10
image for page Giáo án ôn thi vào lớp 10
image for page Giáo án ôn thi vào lớp 10
image for page Giáo án ôn thi vào lớp 10
image for page Giáo án ôn thi vào lớp 10
image for page Giáo án ôn thi vào lớp 10
image for page Giáo án ôn thi vào lớp 10
image for page Giáo án ôn thi vào lớp 10
image for page Giáo án ôn thi vào lớp 10
image for page Giáo án ôn thi vào lớp 10
image for page Giáo án ôn thi vào lớp 10
10 Giáo án Giáo án ôn thi vào Giáo án lớp thi Giáo án ôn Giáo án ôn thi vào lớp vào vào lớp án Giáo án ôn thi ôn ôn thi Giáo

Mã tài liệu 419168

Các chức năng trên hệ thống được hướng dẫn đầy đủ và chi tiết nhất qua các video. Bạn click vào nút bên dưới để xem.

Có thể tài liệu Giáo án ôn thi vào lớp 10 sử dụng nhiều loại font chữ mà máy tính bạn chưa có.
Bạn click vào nút bên dưới để tải chương trình cài đặt bộ font chữ đầy đủ nhất cho bạn.

Nếu phần nội dung, hình ảnh ,... trong tài liệu Giáo án ôn thi vào lớp 10 có liên quan đến vi phạm bản quyền, bạn vui lòng click bên dưới báo cho chúng tôi biết.

Tài liệu vừa xem

Giáo án
Giáo án ôn thi
Giáo án ôn thi vào lớp
Giáo án ôn thi vào
Giáo án ôn