Giáo án tự chọn toan 7

Giáo án tự chọn toan 7

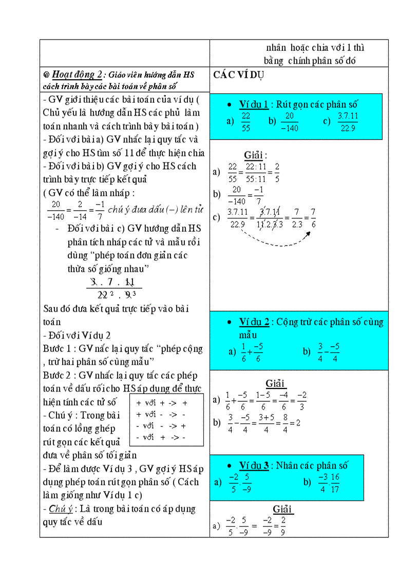
Tài liệu "Giáo án tự chọn toan 7" có mã là 380925, file định dạng doc, có 3 trang Tài liệu thuộc chuyên mục: Tài liệu phổ thông > Hóa Học > Hóa học Lớp 8. Tài liệu thuộc loại Đồng

image for page Giáo án tự chọn toan 7
image for page Giáo án tự chọn toan 7
image for page Giáo án tự chọn toan 7
Giáo án chọn toan 7 7 Giáo án tự chọn toan Giáo án tự chọn Giáo án tự chọn toan Giáo án Giáo án tự tự

Mã tài liệu 380925

Các chức năng trên hệ thống được hướng dẫn đầy đủ và chi tiết nhất qua các video. Bạn click vào nút bên dưới để xem.

Có thể tài liệu Giáo án tự chọn toan 7 sử dụng nhiều loại font chữ mà máy tính bạn chưa có.
Bạn click vào nút bên dưới để tải chương trình cài đặt bộ font chữ đầy đủ nhất cho bạn.

Nếu phần nội dung, hình ảnh ,... trong tài liệu Giáo án tự chọn toan 7 có liên quan đến vi phạm bản quyền, bạn vui lòng click bên dưới báo cho chúng tôi biết.

Tài liệu vừa xem

Giáo án tự chọn toan
Giáo án tự chọn
Giáo án
Giáo án tự