Hàm phần nguyên và các bài tập ứng dụng

Hàm phần nguyên và các bài tập ứng dụng

Tài liệu "Hàm phần nguyên và các bài tập ứng dụng" có mã là 560304, file định dạng pdf, có 24 trang, dung lượng file 699 kb. Tài liệu thuộc chuyên mục: Tài liệu chuyên ngành > Chuyên Ngành Kinh Tế > Kế Toán - Kiểm Toán. Tài liệu thuộc loại Bạc

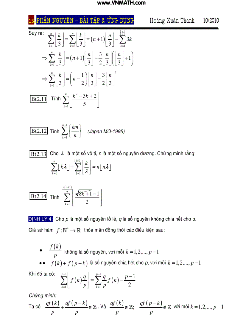
image for page Hàm phần nguyên và các bài tập ứng dụng
image for page Hàm phần nguyên và các bài tập ứng dụng
image for page Hàm phần nguyên và các bài tập ứng dụng
image for page Hàm phần nguyên và các bài tập ứng dụng
image for page Hàm phần nguyên và các bài tập ứng dụng
image for page Hàm phần nguyên và các bài tập ứng dụng
image for page Hàm phần nguyên và các bài tập ứng dụng
image for page Hàm phần nguyên và các bài tập ứng dụng
image for page Hàm phần nguyên và các bài tập ứng dụng
image for page Hàm phần nguyên và các bài tập ứng dụng
image for page Hàm phần nguyên và các bài tập ứng dụng
image for page Hàm phần nguyên và các bài tập ứng dụng
image for page Hàm phần nguyên và các bài tập ứng dụng
image for page Hàm phần nguyên và các bài tập ứng dụng
image for page Hàm phần nguyên và các bài tập ứng dụng
dụng nguyên và tập phần bài Hàm phần tập ứng Hàm phần nguyên và các Hàm phần Hàm phần nguyên các Hàm phần nguyên và ứng Hàm phần nguyên và các bài Hàm phần nguyên và các bài tập Hàm các bài nguyên

Mã tài liệu 560304

Các chức năng trên hệ thống được hướng dẫn đầy đủ và chi tiết nhất qua các video. Bạn click vào nút bên dưới để xem.

Có thể tài liệu Hàm phần nguyên và các bài tập ứng dụng sử dụng nhiều loại font chữ mà máy tính bạn chưa có.
Bạn click vào nút bên dưới để tải chương trình cài đặt bộ font chữ đầy đủ nhất cho bạn.

Nếu phần nội dung, hình ảnh ,... trong tài liệu Hàm phần nguyên và các bài tập ứng dụng có liên quan đến vi phạm bản quyền, bạn vui lòng click bên dưới báo cho chúng tôi biết.

Tài liệu vừa xem

Hàm phần nguyên và các bài
Hàm phần nguyên và các bài tập
Hàm phần nguyên
Hàm phần nguyên và
Hàm phần nguyên và các
Hàm phần