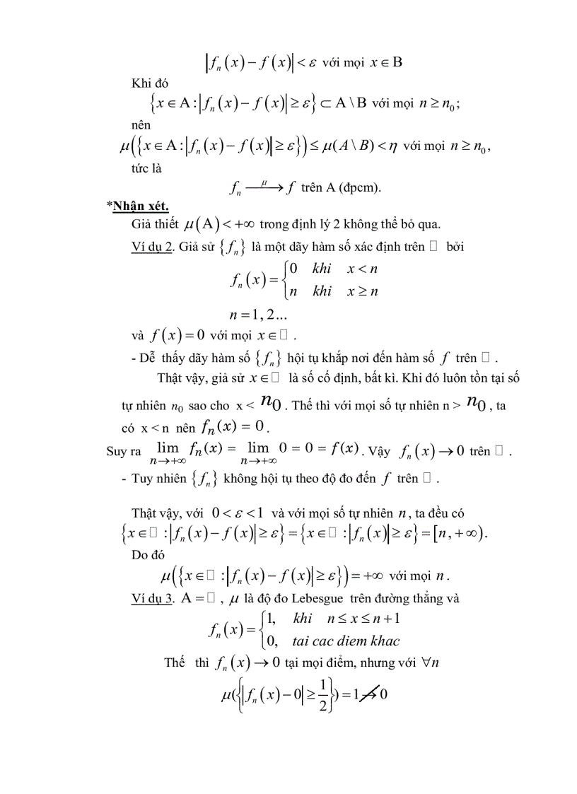
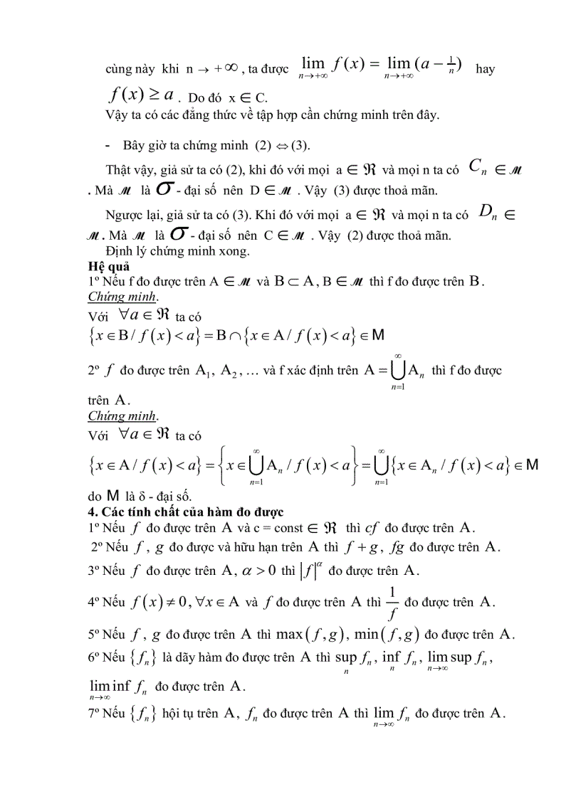
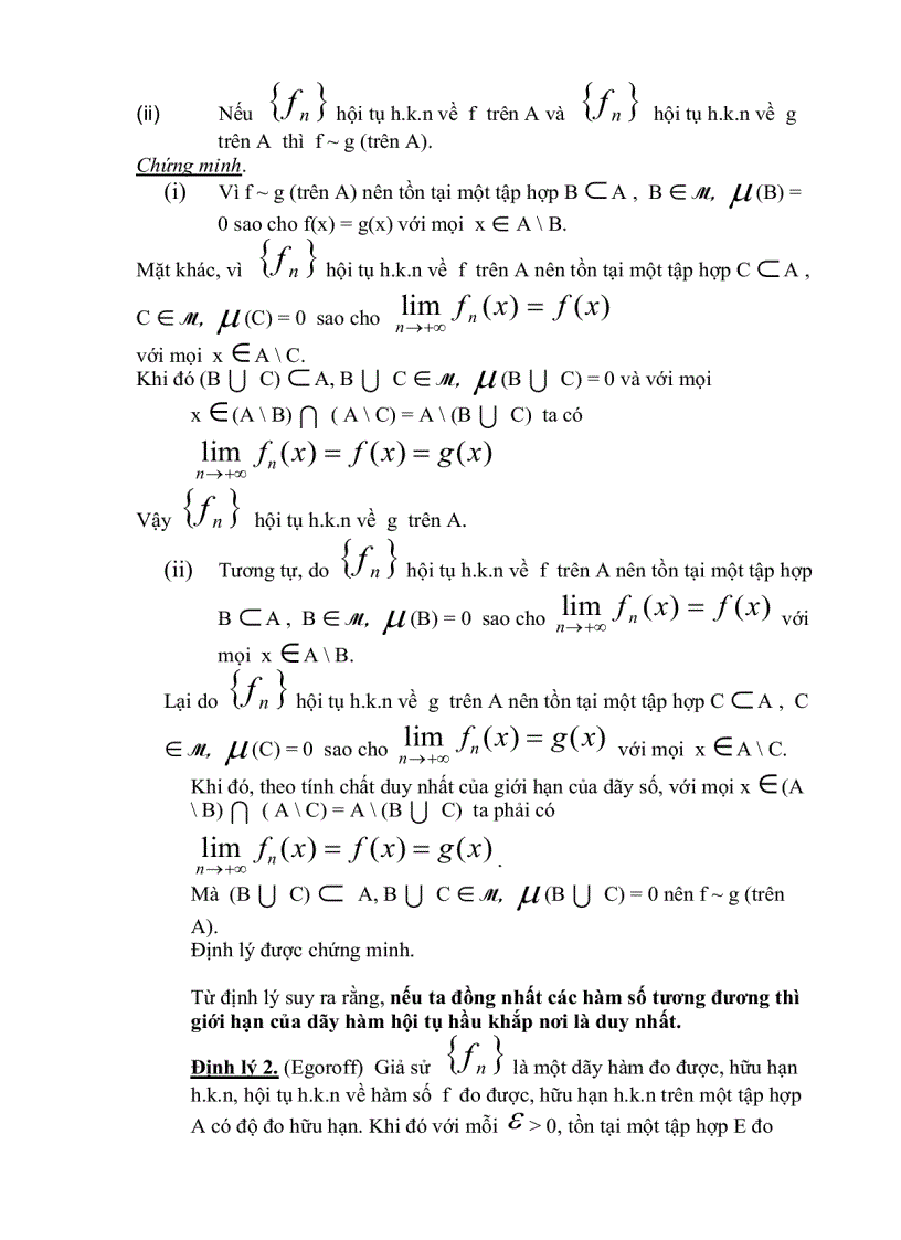
Học phần độ đo tích phân 1

Học phần độ đo tích phân 1

Tài liệu "Học phần độ đo tích phân 1" có mã là 330481, file định dạng pdf, có 58 trang, dung lượng file 724 kb. Tài liệu thuộc chuyên mục: Tài liệu phổ thông > Cao đẳng, Đại Học > Toán Học. Tài liệu thuộc loại Bạc

image for page Học phần độ đo tích phân 1
image for page Học phần độ đo tích phân 1
image for page Học phần độ đo tích phân 1
image for page Học phần độ đo tích phân 1
image for page Học phần độ đo tích phân 1
image for page Học phần độ đo tích phân 1
image for page Học phần độ đo tích phân 1
image for page Học phần độ đo tích phân 1
image for page Học phần độ đo tích phân 1
image for page Học phần độ đo tích phân 1
image for page Học phần độ đo tích phân 1
image for page Học phần độ đo tích phân 1
image for page Học phần độ đo tích phân 1
image for page Học phần độ đo tích phân 1
image for page Học phần độ đo tích phân 1
image for page Học phần độ đo tích phân 1
image for page Học phần độ đo tích phân 1
image for page Học phần độ đo tích phân 1
image for page Học phần độ đo tích phân 1
image for page Học phần độ đo tích phân 1
image for page Học phần độ đo tích phân 1
image for page Học phần độ đo tích phân 1
image for page Học phần độ đo tích phân 1
image for page Học phần độ đo tích phân 1
image for page Học phần độ đo tích phân 1
Học phần độ đo tích phân Học phần độ đo tích tích phân 1 Học phần độ phần đo phân Học phần độ đo tích Học phần độ Học phần Học độ đo

Mã tài liệu 330481

Các chức năng trên hệ thống được hướng dẫn đầy đủ và chi tiết nhất qua các video. Bạn click vào nút bên dưới để xem.

Có thể tài liệu Học phần độ đo tích phân 1 sử dụng nhiều loại font chữ mà máy tính bạn chưa có.
Bạn click vào nút bên dưới để tải chương trình cài đặt bộ font chữ đầy đủ nhất cho bạn.

Nếu phần nội dung, hình ảnh ,... trong tài liệu Học phần độ đo tích phân 1 có liên quan đến vi phạm bản quyền, bạn vui lòng click bên dưới báo cho chúng tôi biết.

Tài liệu vừa xem

Học phần độ đo tích
Học phần độ đo
Học phần
Học phần độ
Học phần độ đo tích phân