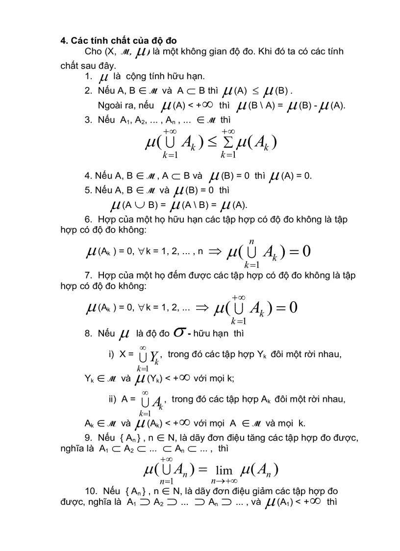
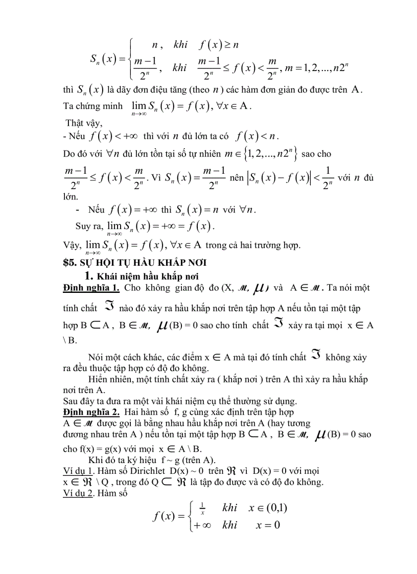
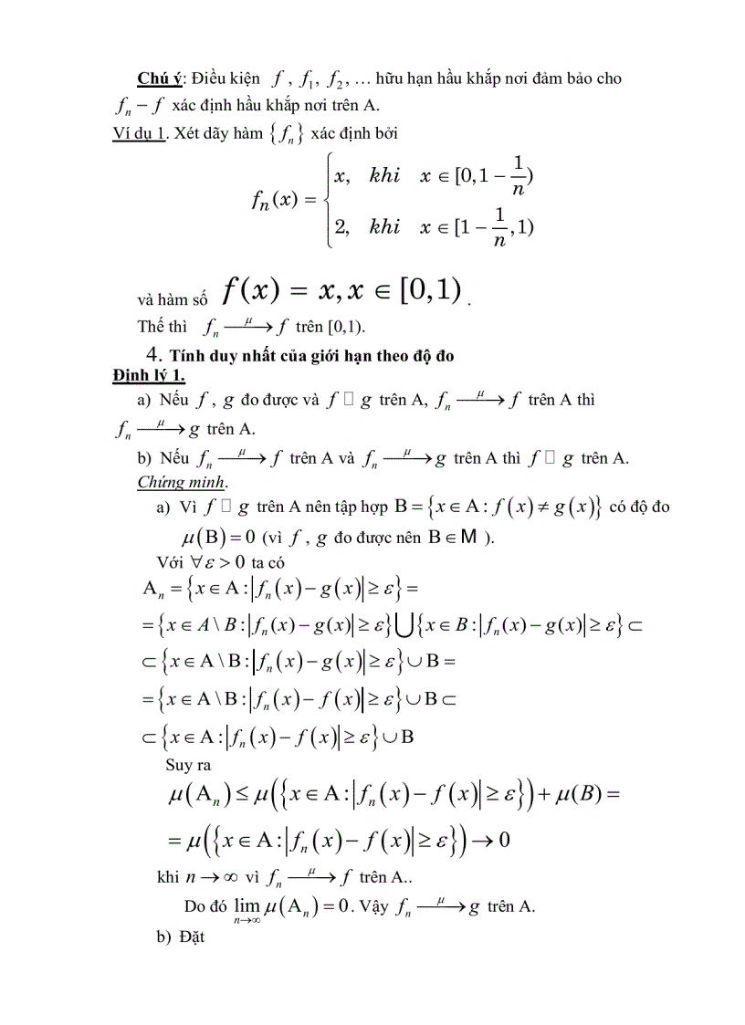
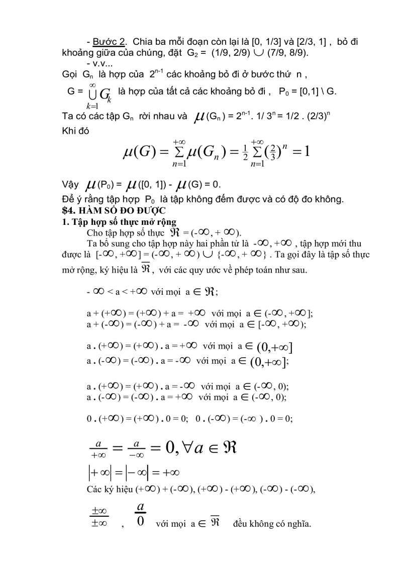
Học phần độ đo tích phân

Học phần độ đo tích phân

Tài liệu "Học phần độ đo tích phân" có mã là 355930, file định dạng pdf, có 58 trang, dung lượng file 724 kb. Tài liệu thuộc chuyên mục: Tài liệu phổ thông > Tổng hợp. Tài liệu thuộc loại Bạc

image for page Học phần độ đo tích phân
image for page Học phần độ đo tích phân
image for page Học phần độ đo tích phân
image for page Học phần độ đo tích phân
image for page Học phần độ đo tích phân
image for page Học phần độ đo tích phân
image for page Học phần độ đo tích phân
image for page Học phần độ đo tích phân
image for page Học phần độ đo tích phân
image for page Học phần độ đo tích phân
image for page Học phần độ đo tích phân
image for page Học phần độ đo tích phân
image for page Học phần độ đo tích phân
image for page Học phần độ đo tích phân
image for page Học phần độ đo tích phân
image for page Học phần độ đo tích phân
image for page Học phần độ đo tích phân
image for page Học phần độ đo tích phân
image for page Học phần độ đo tích phân
image for page Học phần độ đo tích phân
image for page Học phần độ đo tích phân
image for page Học phần độ đo tích phân
image for page Học phần độ đo tích phân
image for page Học phần độ đo tích phân
image for page Học phần độ đo tích phân
độ đo độ tích Học phần độ đo đo phần Học phần độ phân Học phần độ đo tích Học phần tích phân Học Học phần

Mã tài liệu 355930

Các chức năng trên hệ thống được hướng dẫn đầy đủ và chi tiết nhất qua các video. Bạn click vào nút bên dưới để xem.

Có thể tài liệu Học phần độ đo tích phân sử dụng nhiều loại font chữ mà máy tính bạn chưa có.
Bạn click vào nút bên dưới để tải chương trình cài đặt bộ font chữ đầy đủ nhất cho bạn.

Nếu phần nội dung, hình ảnh ,... trong tài liệu Học phần độ đo tích phân có liên quan đến vi phạm bản quyền, bạn vui lòng click bên dưới báo cho chúng tôi biết.

Tài liệu vừa xem

Học phần độ đo
Học phần độ đo tích
Học phần
Học phần độ