Hướng dẫn cân bằng phương trình hóa học

Hướng dẫn cân bằng phương trình hóa học

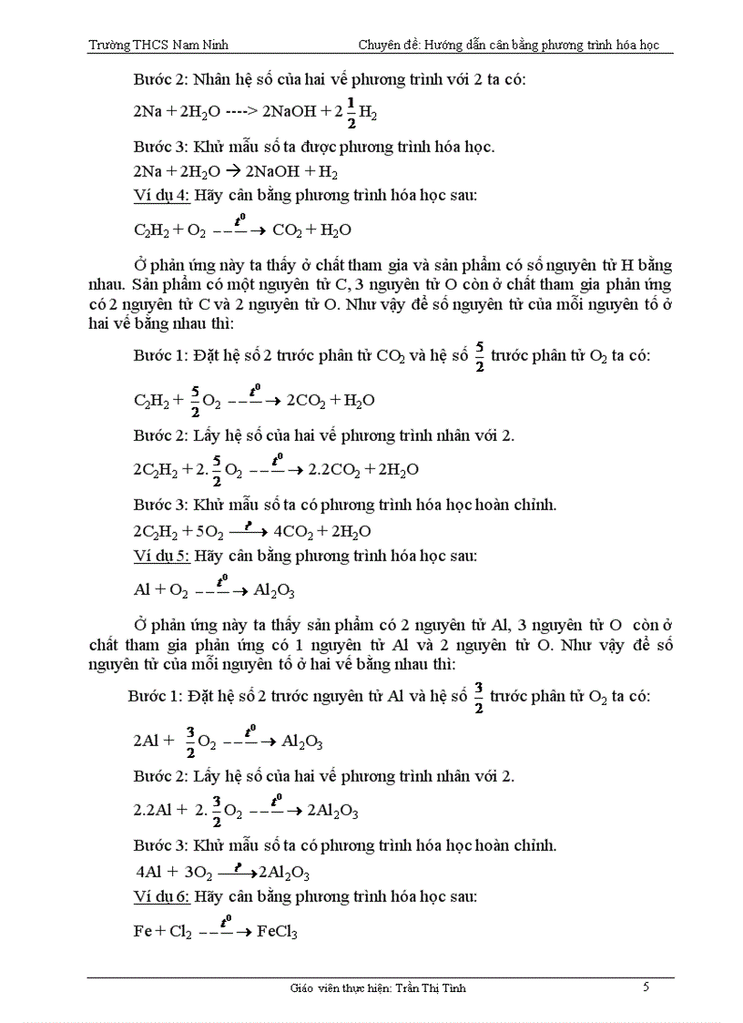
Tài liệu "Hướng dẫn cân bằng phương trình hóa học" có mã là 356373, file định dạng rar, có 12 trang, dung lượng file 34 kb. Tài liệu thuộc chuyên mục: Tài liệu phổ thông > Tổng hợp. Tài liệu thuộc loại Đồng

image for page Hướng dẫn cân bằng phương trình hóa học
image for page Hướng dẫn cân bằng phương trình hóa học
image for page Hướng dẫn cân bằng phương trình hóa học
image for page Hướng dẫn cân bằng phương trình hóa học
image for page Hướng dẫn cân bằng phương trình hóa học
image for page Hướng dẫn cân bằng phương trình hóa học
image for page Hướng dẫn cân bằng phương trình hóa học
image for page Hướng dẫn cân bằng phương trình hóa học
image for page Hướng dẫn cân bằng phương trình hóa học
image for page Hướng dẫn cân bằng phương trình hóa học
image for page Hướng dẫn cân bằng phương trình hóa học
image for page Hướng dẫn cân bằng phương trình hóa học
hóa phương trình Hướng dẫn cân bằng phương học Hướng dẫn cân bằng bằng phương trình Hướng dẫn cân bằng phương trình Hướng dẫn cân bằng phương trình hóa Hướng Hướng dẫn cân cân Hướng dẫn cân bằng dẫn hóa học Hướng dẫn

Mã tài liệu 356373

Các chức năng trên hệ thống được hướng dẫn đầy đủ và chi tiết nhất qua các video. Bạn click vào nút bên dưới để xem.

Có thể tài liệu Hướng dẫn cân bằng phương trình hóa học sử dụng nhiều loại font chữ mà máy tính bạn chưa có.
Bạn click vào nút bên dưới để tải chương trình cài đặt bộ font chữ đầy đủ nhất cho bạn.

Nếu phần nội dung, hình ảnh ,... trong tài liệu Hướng dẫn cân bằng phương trình hóa học có liên quan đến vi phạm bản quyền, bạn vui lòng click bên dưới báo cho chúng tôi biết.

Tài liệu vừa xem

Hướng dẫn
Hướng dẫn cân bằng phương
Hướng dẫn cân
Hướng dẫn cân bằng phương trình
Hướng dẫn cân bằng
Hướng dẫn cân bằng phương trình hóa