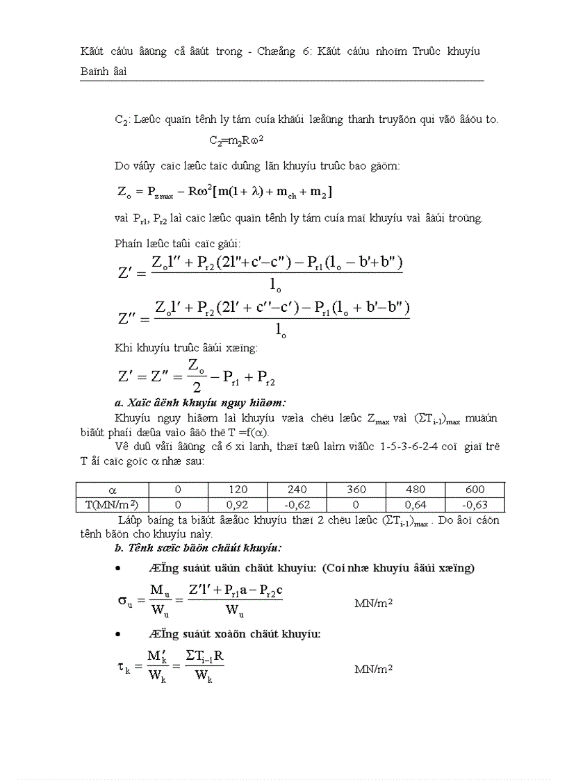
Kết cấu động cơ đốt trong Kết cấu và tính toán nhóm trục khuỷu bánh đà

Kết cấu động cơ đốt trong Kết cấu và tính toán nhóm trục khuỷu bánh đà

Tài liệu "Kết cấu động cơ đốt trong Kết cấu và tính toán nhóm trục khuỷu bánh đà" có mã là 586586, file định dạng doc, có 12 trang, dung lượng file 224 kb. Tài liệu thuộc chuyên mục: Tài liệu chuyên ngành > Kỹ Thuật Công Nghệ > Cơ Khí - Nhiệt Lạnh. Tài liệu thuộc loại Đồng

image for page Kết cấu động cơ đốt trong Kết cấu và tính toán nhóm trục khuỷu bánh đà
image for page Kết cấu động cơ đốt trong Kết cấu và tính toán nhóm trục khuỷu bánh đà
image for page Kết cấu động cơ đốt trong Kết cấu và tính toán nhóm trục khuỷu bánh đà
image for page Kết cấu động cơ đốt trong Kết cấu và tính toán nhóm trục khuỷu bánh đà
image for page Kết cấu động cơ đốt trong Kết cấu và tính toán nhóm trục khuỷu bánh đà
image for page Kết cấu động cơ đốt trong Kết cấu và tính toán nhóm trục khuỷu bánh đà
image for page Kết cấu động cơ đốt trong Kết cấu và tính toán nhóm trục khuỷu bánh đà
image for page Kết cấu động cơ đốt trong Kết cấu và tính toán nhóm trục khuỷu bánh đà
image for page Kết cấu động cơ đốt trong Kết cấu và tính toán nhóm trục khuỷu bánh đà
image for page Kết cấu động cơ đốt trong Kết cấu và tính toán nhóm trục khuỷu bánh đà
image for page Kết cấu động cơ đốt trong Kết cấu và tính toán nhóm trục khuỷu bánh đà
image for page Kết cấu động cơ đốt trong Kết cấu và tính toán nhóm trục khuỷu bánh đà
Kết cấu đà và tính Kết cấu động cơ đốt toán nhóm toán khuỷu Kết cấu Kết cấu trục Kết nhóm đốt trong cấu bánh Kết cấu động trục khuỷu động động cơ Kết cấu động cơ đốt trong Kết Kết cấu tính đốt bánh đà Kết cấu động cơ đốt trong trong Kết cấu động cơ

Mã tài liệu 586586

Các chức năng trên hệ thống được hướng dẫn đầy đủ và chi tiết nhất qua các video. Bạn click vào nút bên dưới để xem.

Có thể tài liệu Kết cấu động cơ đốt trong Kết cấu và tính toán nhóm trục khuỷu bánh đà sử dụng nhiều loại font chữ mà máy tính bạn chưa có.
Bạn click vào nút bên dưới để tải chương trình cài đặt bộ font chữ đầy đủ nhất cho bạn.

Nếu phần nội dung, hình ảnh ,... trong tài liệu Kết cấu động cơ đốt trong Kết cấu và tính toán nhóm trục khuỷu bánh đà có liên quan đến vi phạm bản quyền, bạn vui lòng click bên dưới báo cho chúng tôi biết.

Tài liệu vừa xem

Kết cấu động
Kết cấu
Kết cấu động cơ đốt trong Kết
Kết cấu động cơ đốt trong
Kết cấu động cơ đốt
Kết cấu động cơ