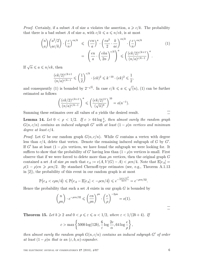
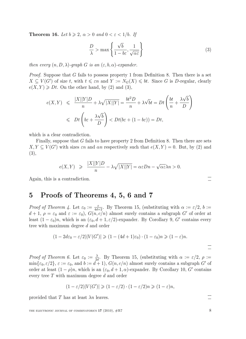
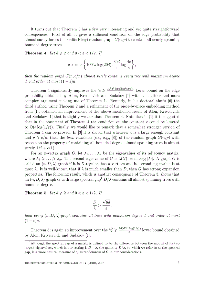
Large bounded degree trees in expanding graphs

Large bounded degree trees in expanding graphs

Tài liệu "Large bounded degree trees in expanding graphs" có mã là 609594, file định dạng pdf, có 9 trang, dung lượng file 130 kb. Tài liệu thuộc chuyên mục: Sách điện tử > Ngoại ngữ. Tài liệu thuộc loại Đồng

image for page Large bounded degree trees in expanding graphs
image for page Large bounded degree trees in expanding graphs
image for page Large bounded degree trees in expanding graphs
image for page Large bounded degree trees in expanding graphs
image for page Large bounded degree trees in expanding graphs
image for page Large bounded degree trees in expanding graphs
image for page Large bounded degree trees in expanding graphs
image for page Large bounded degree trees in expanding graphs
image for page Large bounded degree trees in expanding graphs
trees Large bounded Large bounded degree trees in degree trees in bounded Large bounded degree trees in expanding Large bounded graphs Large bounded degree degree in expanding Large Large bounded degree trees expanding

Mã tài liệu 609594

Các chức năng trên hệ thống được hướng dẫn đầy đủ và chi tiết nhất qua các video. Bạn click vào nút bên dưới để xem.

Có thể tài liệu Large bounded degree trees in expanding graphs sử dụng nhiều loại font chữ mà máy tính bạn chưa có.
Bạn click vào nút bên dưới để tải chương trình cài đặt bộ font chữ đầy đủ nhất cho bạn.

Nếu phần nội dung, hình ảnh ,... trong tài liệu Large bounded degree trees in expanding graphs có liên quan đến vi phạm bản quyền, bạn vui lòng click bên dưới báo cho chúng tôi biết.

Tài liệu vừa xem

Large bounded degree trees
Large bounded degree trees in
Large bounded degree trees in expanding
Large bounded
Large bounded degree