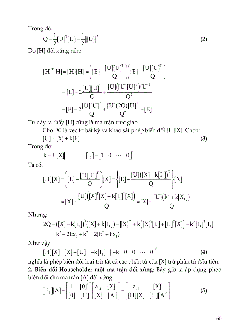
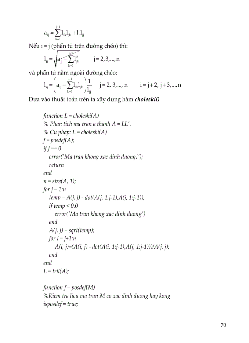
Ma trận

Ma trận

Tài liệu "Ma trận" có mã là 601637, file định dạng rar, có 77 trang, dung lượng file 546 kb. Tài liệu thuộc chuyên mục: Tài liệu chuyên ngành > Công Nghệ Thông Tin > Căn Bản. Tài liệu thuộc loại Bạc

image for page Ma trận
image for page Ma trận
image for page Ma trận
image for page Ma trận
image for page Ma trận
image for page Ma trận
image for page Ma trận
image for page Ma trận
image for page Ma trận
image for page Ma trận
image for page Ma trận
image for page Ma trận
image for page Ma trận
image for page Ma trận
image for page Ma trận
image for page Ma trận
image for page Ma trận
image for page Ma trận
image for page Ma trận
image for page Ma trận
image for page Ma trận
image for page Ma trận
image for page Ma trận
image for page Ma trận
image for page Ma trận
image for page Ma trận
image for page Ma trận
image for page Ma trận
image for page Ma trận

Mã tài liệu 601637

Các chức năng trên hệ thống được hướng dẫn đầy đủ và chi tiết nhất qua các video. Bạn click vào nút bên dưới để xem.

Có thể tài liệu Ma trận sử dụng nhiều loại font chữ mà máy tính bạn chưa có.
Bạn click vào nút bên dưới để tải chương trình cài đặt bộ font chữ đầy đủ nhất cho bạn.

Nếu phần nội dung, hình ảnh ,... trong tài liệu Ma trận có liên quan đến vi phạm bản quyền, bạn vui lòng click bên dưới báo cho chúng tôi biết.

Tài liệu vừa xem