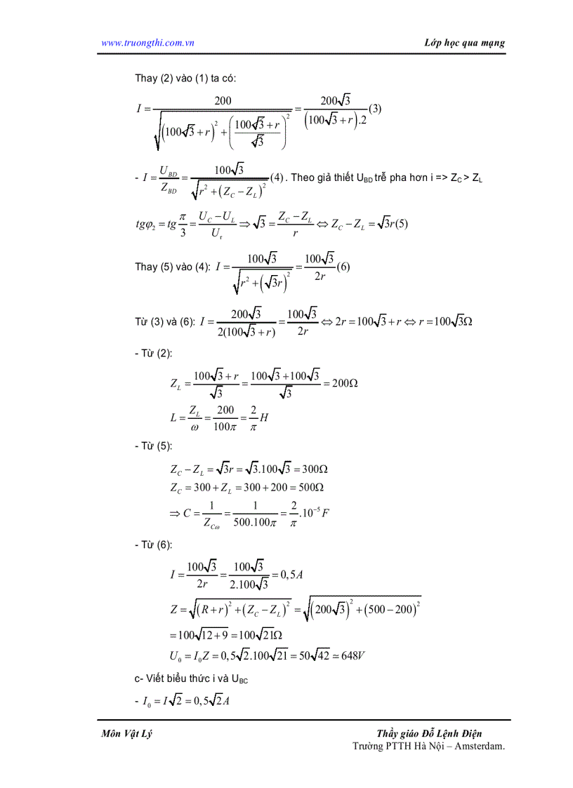
Mạch điện xoay chiều

Mạch điện xoay chiều

Tài liệu "Mạch điện xoay chiều" có mã là 573659, file định dạng pdf, có 6 trang, dung lượng file 241 kb. Tài liệu thuộc chuyên mục: Tài liệu chuyên ngành > Chuyên Ngành Kinh Tế > Kế Toán - Kiểm Toán. Tài liệu thuộc loại Đồng

image for page Mạch điện xoay chiều
image for page Mạch điện xoay chiều
image for page Mạch điện xoay chiều
image for page Mạch điện xoay chiều
image for page Mạch điện xoay chiều
image for page Mạch điện xoay chiều

Mã tài liệu 573659

Các chức năng trên hệ thống được hướng dẫn đầy đủ và chi tiết nhất qua các video. Bạn click vào nút bên dưới để xem.

Có thể tài liệu Mạch điện xoay chiều sử dụng nhiều loại font chữ mà máy tính bạn chưa có.
Bạn click vào nút bên dưới để tải chương trình cài đặt bộ font chữ đầy đủ nhất cho bạn.

Nếu phần nội dung, hình ảnh ,... trong tài liệu Mạch điện xoay chiều có liên quan đến vi phạm bản quyền, bạn vui lòng click bên dưới báo cho chúng tôi biết.

Tài liệu vừa xem