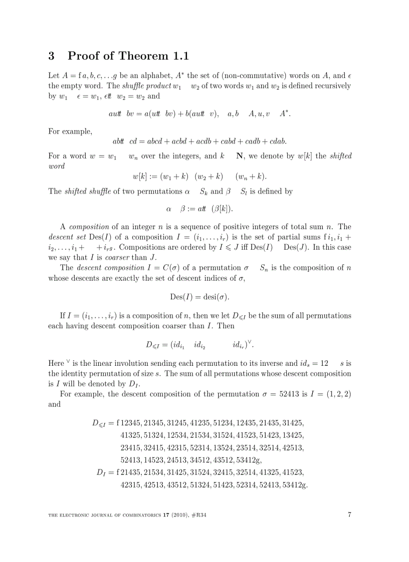
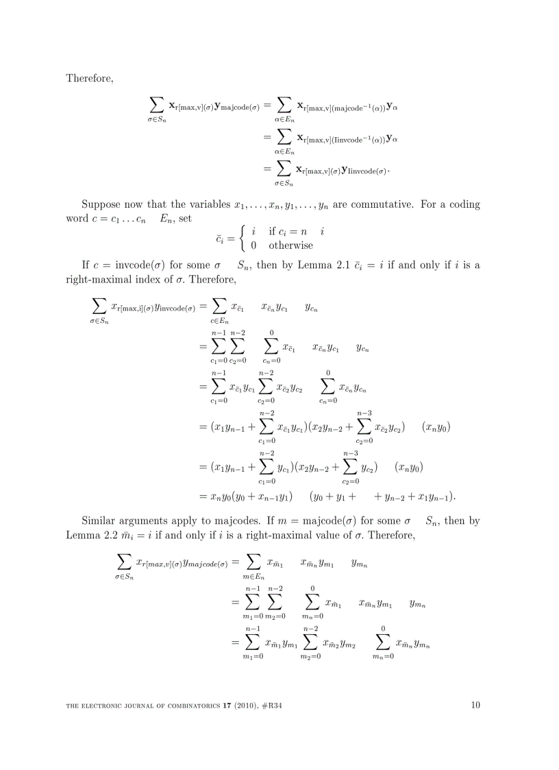
MacMahon s theorem for a set of permutations with given descent indices and right maximal records

MacMahon s theorem for a set of permutations with given descent indices and right maximal records

Tài liệu "MacMahon s theorem for a set of permutations with given descent indices and right maximal records" có mã là 610587, file định dạng pdf, có 14 trang, dung lượng file 137 kb. Tài liệu thuộc chuyên mục: Sách điện tử > Ngoại ngữ. Tài liệu thuộc loại Đồng

image for page MacMahon s theorem for a set of permutations with given descent indices and right maximal records
image for page MacMahon s theorem for a set of permutations with given descent indices and right maximal records
image for page MacMahon s theorem for a set of permutations with given descent indices and right maximal records
image for page MacMahon s theorem for a set of permutations with given descent indices and right maximal records
image for page MacMahon s theorem for a set of permutations with given descent indices and right maximal records
image for page MacMahon s theorem for a set of permutations with given descent indices and right maximal records
image for page MacMahon s theorem for a set of permutations with given descent indices and right maximal records
image for page MacMahon s theorem for a set of permutations with given descent indices and right maximal records
image for page MacMahon s theorem for a set of permutations with given descent indices and right maximal records
image for page MacMahon s theorem for a set of permutations with given descent indices and right maximal records
image for page MacMahon s theorem for a set of permutations with given descent indices and right maximal records
image for page MacMahon s theorem for a set of permutations with given descent indices and right maximal records
image for page MacMahon s theorem for a set of permutations with given descent indices and right maximal records
image for page MacMahon s theorem for a set of permutations with given descent indices and right maximal records
MacMahon s theorem for maximal MacMahon a set of permutations MacMahon s theorem for a set theorem given with theorem for s of records with given indices permutations descent indices MacMahon s and right maximal records MacMahon s theorem a set descent MacMahon s theorem for a set of MacMahon s theorem for a MacMahon s and right for

Mã tài liệu 610587

Các chức năng trên hệ thống được hướng dẫn đầy đủ và chi tiết nhất qua các video. Bạn click vào nút bên dưới để xem.

Có thể tài liệu MacMahon s theorem for a set of permutations with given descent indices and right maximal records sử dụng nhiều loại font chữ mà máy tính bạn chưa có.
Bạn click vào nút bên dưới để tải chương trình cài đặt bộ font chữ đầy đủ nhất cho bạn.

Nếu phần nội dung, hình ảnh ,... trong tài liệu MacMahon s theorem for a set of permutations with given descent indices and right maximal records có liên quan đến vi phạm bản quyền, bạn vui lòng click bên dưới báo cho chúng tôi biết.

Tài liệu vừa xem

MacMahon s theorem for
MacMahon s
MacMahon s theorem for a set of
MacMahon s theorem
MacMahon s theorem for a
MacMahon s theorem for a set