Môn kinh tế môi trường

Môn kinh tế môi trường

Tài liệu "Môn kinh tế môi trường" có mã là 588967, file định dạng pdf, có 4 trang, dung lượng file 64 kb. Tài liệu thuộc chuyên mục: Tài liệu chuyên ngành > Các Môn Đại Cương > Kinh Tế Vi Mô. Tài liệu thuộc loại Đồng

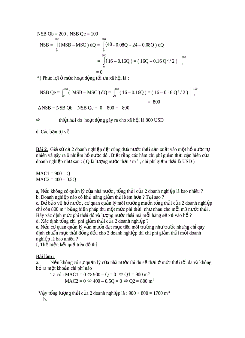
image for page Môn kinh tế môi trường
image for page Môn kinh tế môi trường
image for page Môn kinh tế môi trường
image for page Môn kinh tế môi trường

Mã tài liệu 588967

Các chức năng trên hệ thống được hướng dẫn đầy đủ và chi tiết nhất qua các video. Bạn click vào nút bên dưới để xem.

Có thể tài liệu Môn kinh tế môi trường sử dụng nhiều loại font chữ mà máy tính bạn chưa có.
Bạn click vào nút bên dưới để tải chương trình cài đặt bộ font chữ đầy đủ nhất cho bạn.

Nếu phần nội dung, hình ảnh ,... trong tài liệu Môn kinh tế môi trường có liên quan đến vi phạm bản quyền, bạn vui lòng click bên dưới báo cho chúng tôi biết.

Tài liệu vừa xem