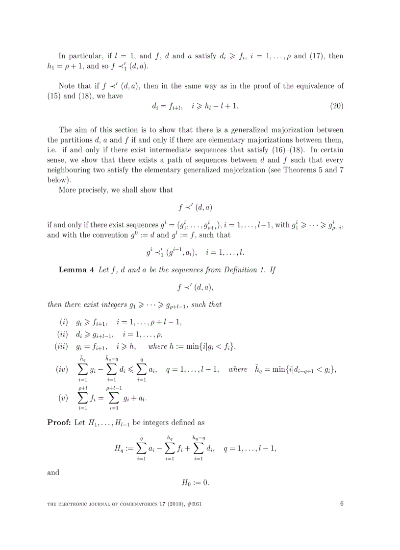
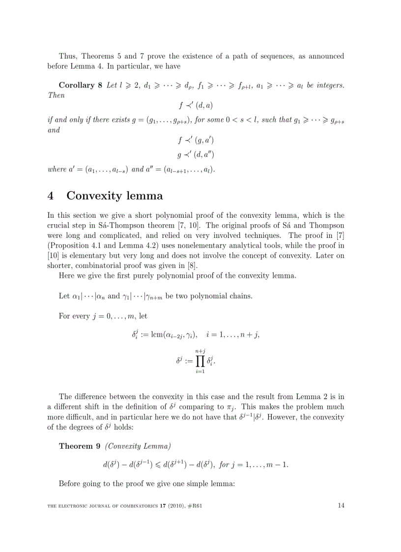
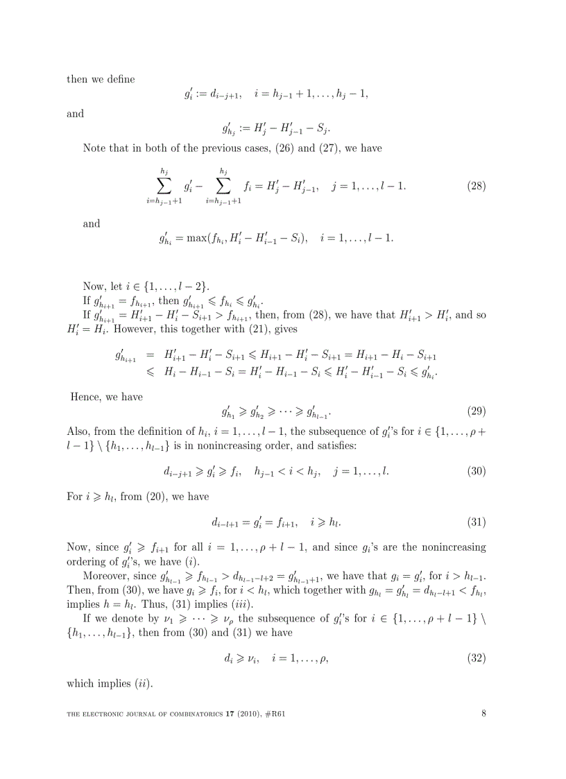
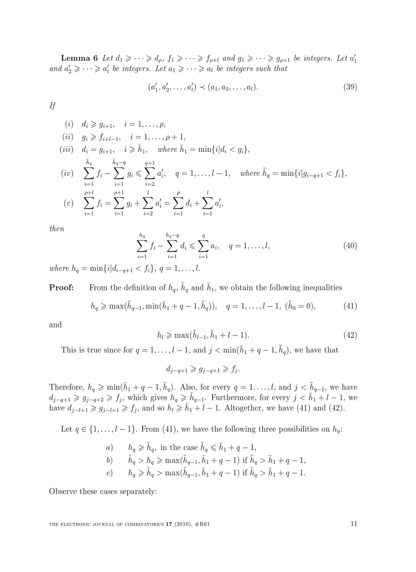
On convexity of polynomial paths and generalized majorizations

On convexity of polynomial paths and generalized majorizations

Tài liệu "On convexity of polynomial paths and generalized majorizations" có mã là 610114, file định dạng pdf, có 16 trang, dung lượng file 141 kb. Tài liệu thuộc chuyên mục: Sách điện tử > Ngoại ngữ. Tài liệu thuộc loại Đồng

image for page On convexity of polynomial paths and generalized majorizations
image for page On convexity of polynomial paths and generalized majorizations
image for page On convexity of polynomial paths and generalized majorizations
image for page On convexity of polynomial paths and generalized majorizations
image for page On convexity of polynomial paths and generalized majorizations
image for page On convexity of polynomial paths and generalized majorizations
image for page On convexity of polynomial paths and generalized majorizations
image for page On convexity of polynomial paths and generalized majorizations
image for page On convexity of polynomial paths and generalized majorizations
image for page On convexity of polynomial paths and generalized majorizations
image for page On convexity of polynomial paths and generalized majorizations
image for page On convexity of polynomial paths and generalized majorizations
image for page On convexity of polynomial paths and generalized majorizations
image for page On convexity of polynomial paths and generalized majorizations
image for page On convexity of polynomial paths and generalized majorizations
of generalized On convexity majorizations On convexity On convexity of polynomial paths On convexity of polynomial paths and On convexity of polynomial paths and generalized On convexity of paths On convexity of polynomial paths and of polynomial generalized majorizations convexity and On polynomial

Mã tài liệu 610114

Các chức năng trên hệ thống được hướng dẫn đầy đủ và chi tiết nhất qua các video. Bạn click vào nút bên dưới để xem.

Có thể tài liệu On convexity of polynomial paths and generalized majorizations sử dụng nhiều loại font chữ mà máy tính bạn chưa có.
Bạn click vào nút bên dưới để tải chương trình cài đặt bộ font chữ đầy đủ nhất cho bạn.

Nếu phần nội dung, hình ảnh ,... trong tài liệu On convexity of polynomial paths and generalized majorizations có liên quan đến vi phạm bản quyền, bạn vui lòng click bên dưới báo cho chúng tôi biết.

Tài liệu vừa xem

On convexity of polynomial paths
On convexity of polynomial paths and generalized
On convexity
On convexity of polynomial paths and
On convexity of polynomial
On convexity of