Ôn Tâp hè Toán 8

Ôn Tâp hè Toán 8

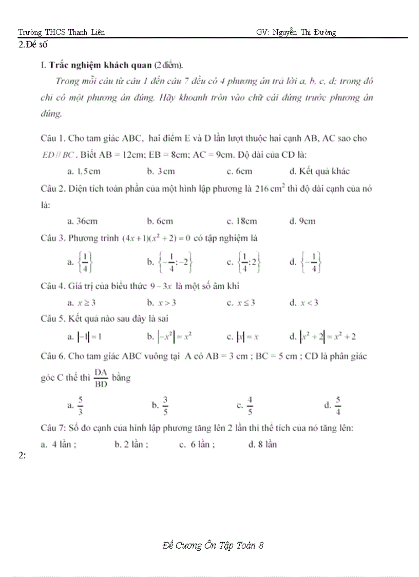
Tài liệu "Ôn Tâp hè Toán 8" có mã là 423528, file định dạng doc, có 21 trang, dung lượng file 939 kb. Tài liệu thuộc chuyên mục: Tài liệu phổ thông > Mẫu giáo, Mầm non. Tài liệu thuộc loại Bạc

image for page Ôn Tâp hè Toán 8
image for page Ôn Tâp hè Toán 8
image for page Ôn Tâp hè Toán 8
image for page Ôn Tâp hè Toán 8
image for page Ôn Tâp hè Toán 8
image for page Ôn Tâp hè Toán 8
image for page Ôn Tâp hè Toán 8
image for page Ôn Tâp hè Toán 8
image for page Ôn Tâp hè Toán 8
image for page Ôn Tâp hè Toán 8
image for page Ôn Tâp hè Toán 8
image for page Ôn Tâp hè Toán 8
image for page Ôn Tâp hè Toán 8
image for page Ôn Tâp hè Toán 8
image for page Ôn Tâp hè Toán 8

Mã tài liệu 423528

Các chức năng trên hệ thống được hướng dẫn đầy đủ và chi tiết nhất qua các video. Bạn click vào nút bên dưới để xem.

Có thể tài liệu Ôn Tâp hè Toán 8 sử dụng nhiều loại font chữ mà máy tính bạn chưa có.
Bạn click vào nút bên dưới để tải chương trình cài đặt bộ font chữ đầy đủ nhất cho bạn.

Nếu phần nội dung, hình ảnh ,... trong tài liệu Ôn Tâp hè Toán 8 có liên quan đến vi phạm bản quyền, bạn vui lòng click bên dưới báo cho chúng tôi biết.

Tài liệu vừa xem