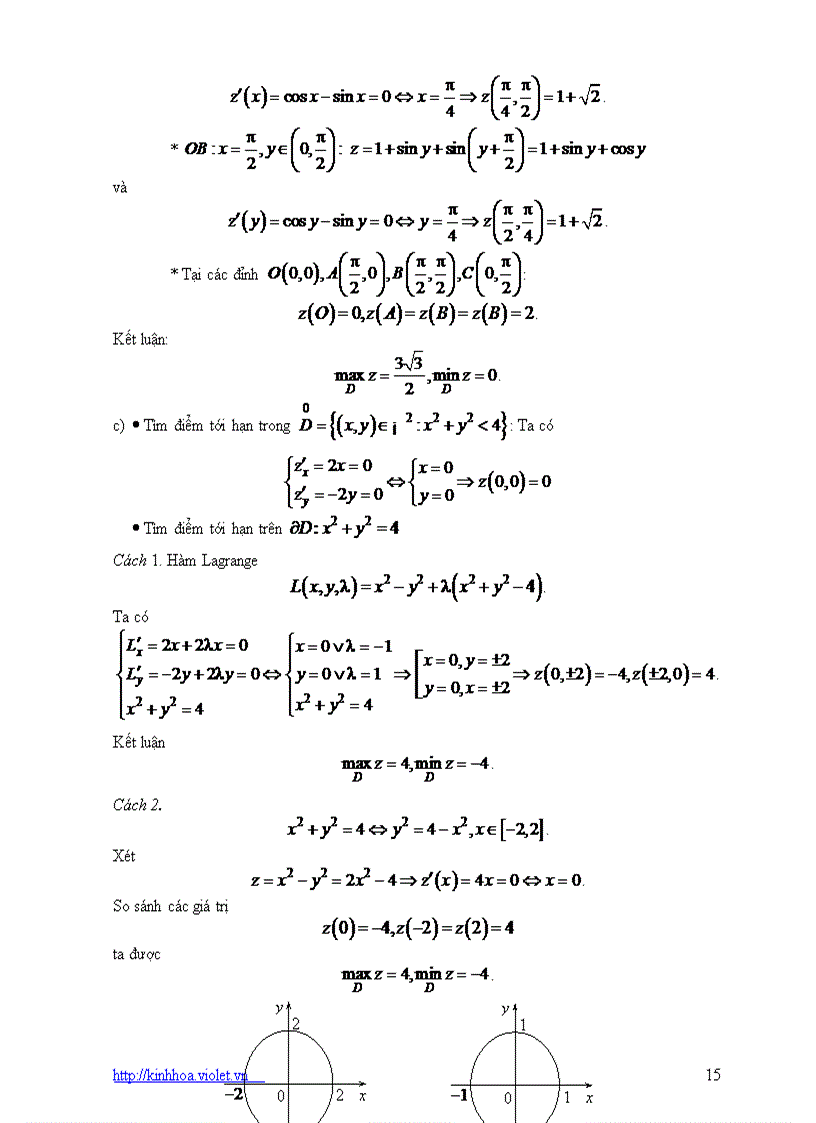
Phép tính vi phân hàm nhiều biến

Phép tính vi phân hàm nhiều biến

Tài liệu "Phép tính vi phân hàm nhiều biến" có mã là 330663, file định dạng rar, có 16 trang, dung lượng file 331 kb. Tài liệu thuộc chuyên mục: Tài liệu phổ thông > Cao đẳng, Đại Học > Toán Học. Tài liệu thuộc loại Đồng

image for page Phép tính vi phân hàm nhiều biến
image for page Phép tính vi phân hàm nhiều biến
image for page Phép tính vi phân hàm nhiều biến
image for page Phép tính vi phân hàm nhiều biến
image for page Phép tính vi phân hàm nhiều biến
image for page Phép tính vi phân hàm nhiều biến
image for page Phép tính vi phân hàm nhiều biến
image for page Phép tính vi phân hàm nhiều biến
image for page Phép tính vi phân hàm nhiều biến
image for page Phép tính vi phân hàm nhiều biến
image for page Phép tính vi phân hàm nhiều biến
image for page Phép tính vi phân hàm nhiều biến
image for page Phép tính vi phân hàm nhiều biến
image for page Phép tính vi phân hàm nhiều biến
image for page Phép tính vi phân hàm nhiều biến
Phép tính vi phân Phép tính vi tính Phép tính vi phân hàm biến phân Phép hàm Phép tính Phép tính Phép tính vi phân hàm nhiều vi phân vi nhiều hàm nhiều

Mã tài liệu 330663

Các chức năng trên hệ thống được hướng dẫn đầy đủ và chi tiết nhất qua các video. Bạn click vào nút bên dưới để xem.

Có thể tài liệu Phép tính vi phân hàm nhiều biến sử dụng nhiều loại font chữ mà máy tính bạn chưa có.
Bạn click vào nút bên dưới để tải chương trình cài đặt bộ font chữ đầy đủ nhất cho bạn.

Nếu phần nội dung, hình ảnh ,... trong tài liệu Phép tính vi phân hàm nhiều biến có liên quan đến vi phạm bản quyền, bạn vui lòng click bên dưới báo cho chúng tôi biết.

Tài liệu vừa xem

Phép tính vi phân hàm nhiều
Phép tính
Phép tính vi
Phép tính vi phân
Phép tính vi phân hàm