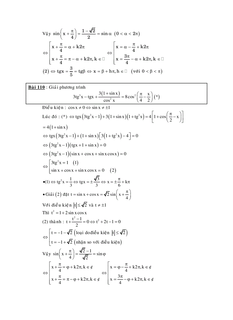
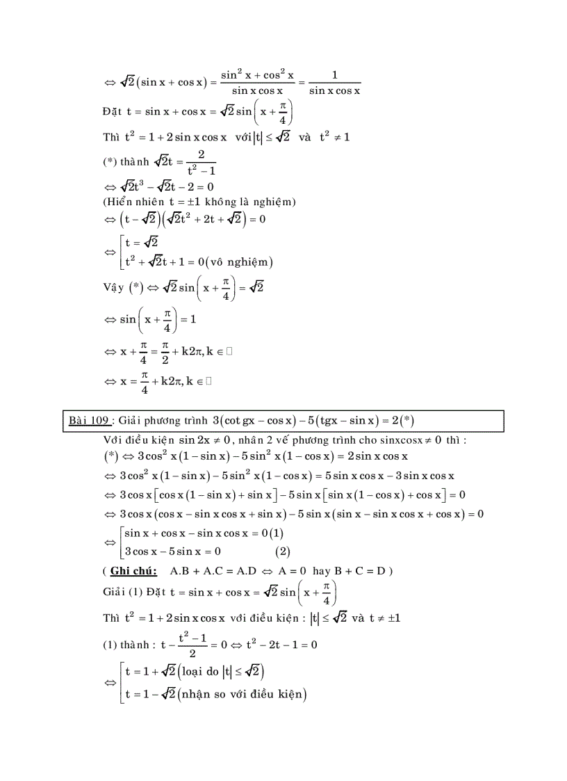
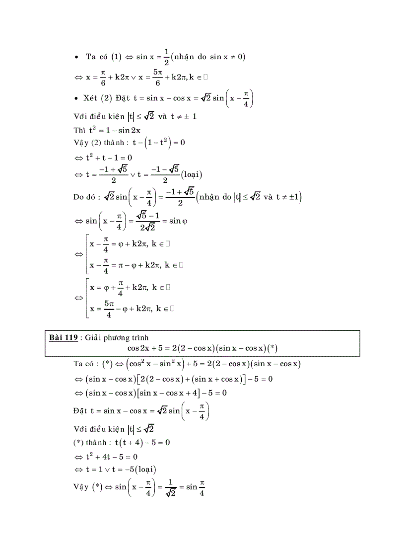
Phương trình đối xứng theo sinx cosx

Phương trình đối xứng theo sinx cosx

Tài liệu "Phương trình đối xứng theo sinx cosx" có mã là 572691, file định dạng pdf, có 19 trang, dung lượng file 553 kb. Tài liệu thuộc chuyên mục: Tài liệu chuyên ngành > Chuyên Ngành Kinh Tế > Kế Toán - Kiểm Toán. Tài liệu thuộc loại Đồng

image for page Phương trình đối xứng theo sinx cosx
image for page Phương trình đối xứng theo sinx cosx
image for page Phương trình đối xứng theo sinx cosx
image for page Phương trình đối xứng theo sinx cosx
image for page Phương trình đối xứng theo sinx cosx
image for page Phương trình đối xứng theo sinx cosx
image for page Phương trình đối xứng theo sinx cosx
image for page Phương trình đối xứng theo sinx cosx
image for page Phương trình đối xứng theo sinx cosx
image for page Phương trình đối xứng theo sinx cosx
image for page Phương trình đối xứng theo sinx cosx
image for page Phương trình đối xứng theo sinx cosx
image for page Phương trình đối xứng theo sinx cosx
image for page Phương trình đối xứng theo sinx cosx
image for page Phương trình đối xứng theo sinx cosx
Phương trình đối sinx Phương trình Phương trình đối xứng theo đối xứng cosx xứng trình Phương trình đối Phương trình đối xứng theo sinx theo sinx Phương Phương trình đối xứng theo

Mã tài liệu 572691

Các chức năng trên hệ thống được hướng dẫn đầy đủ và chi tiết nhất qua các video. Bạn click vào nút bên dưới để xem.

Có thể tài liệu Phương trình đối xứng theo sinx cosx sử dụng nhiều loại font chữ mà máy tính bạn chưa có.
Bạn click vào nút bên dưới để tải chương trình cài đặt bộ font chữ đầy đủ nhất cho bạn.

Nếu phần nội dung, hình ảnh ,... trong tài liệu Phương trình đối xứng theo sinx cosx có liên quan đến vi phạm bản quyền, bạn vui lòng click bên dưới báo cho chúng tôi biết.

Tài liệu vừa xem

Phương trình đối xứng theo sinx
Phương trình
Phương trình đối
Phương trình đối xứng theo
Phương trình đối xứng