Rèn luyện năng lực giải toán cho học sinh thông qua một số phương pháp giải phương trình hệ phương trình

Rèn luyện năng lực giải toán cho học sinh thông qua một số phương pháp giải phương trình hệ phương trình

Tài liệu "Rèn luyện năng lực giải toán cho học sinh thông qua một số phương pháp giải phương trình hệ phương trình" có mã là 553235, file định dạng doc, có 25 trang, dung lượng file 966 kb. Tài liệu thuộc chuyên mục: Tài liệu chuyên ngành > Chuyên Ngành Kinh Tế > Kế Toán - Kiểm Toán. Tài liệu thuộc loại Bạc

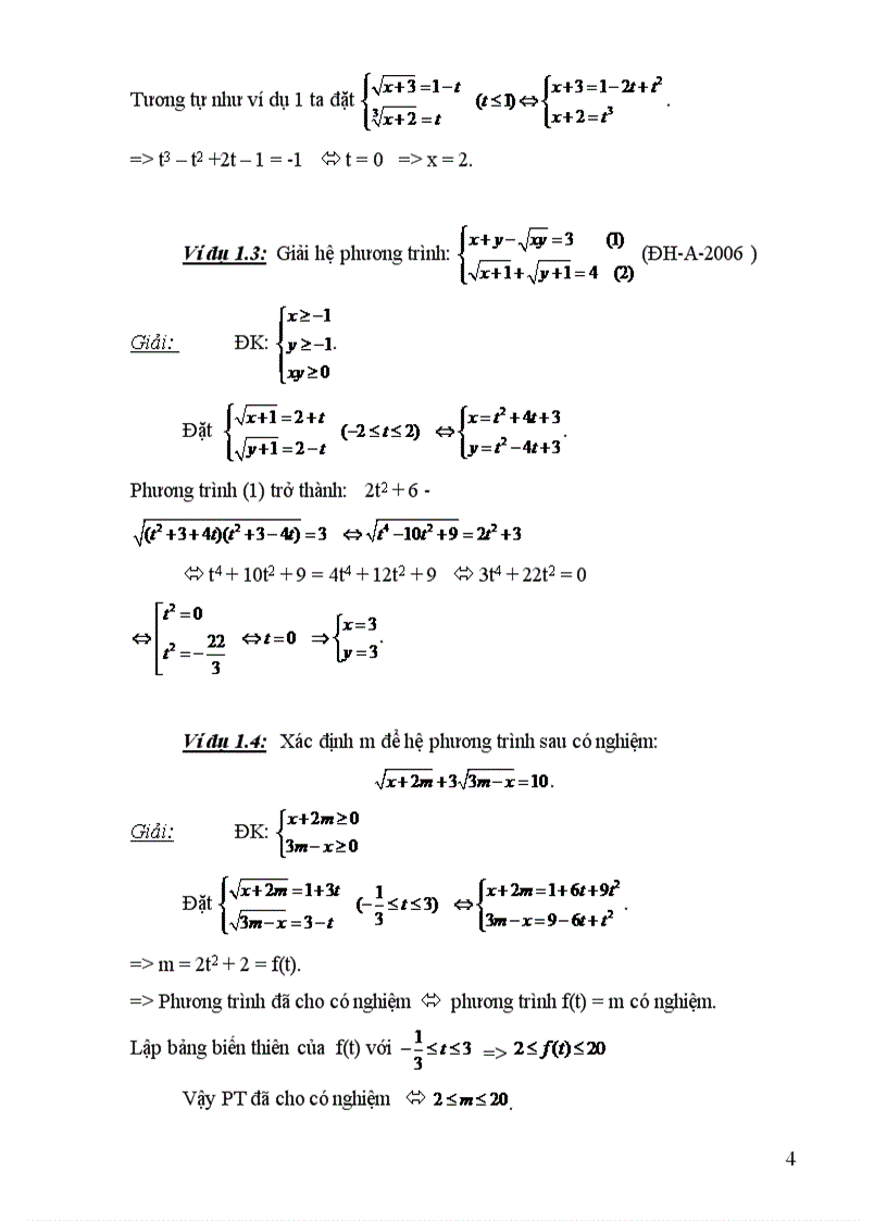
image for page Rèn luyện năng lực giải toán cho học sinh thông qua một số phương pháp giải phương trình hệ phương trình
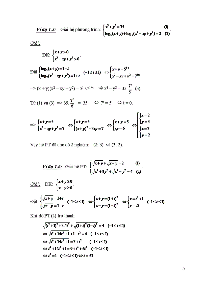
image for page Rèn luyện năng lực giải toán cho học sinh thông qua một số phương pháp giải phương trình hệ phương trình
image for page Rèn luyện năng lực giải toán cho học sinh thông qua một số phương pháp giải phương trình hệ phương trình
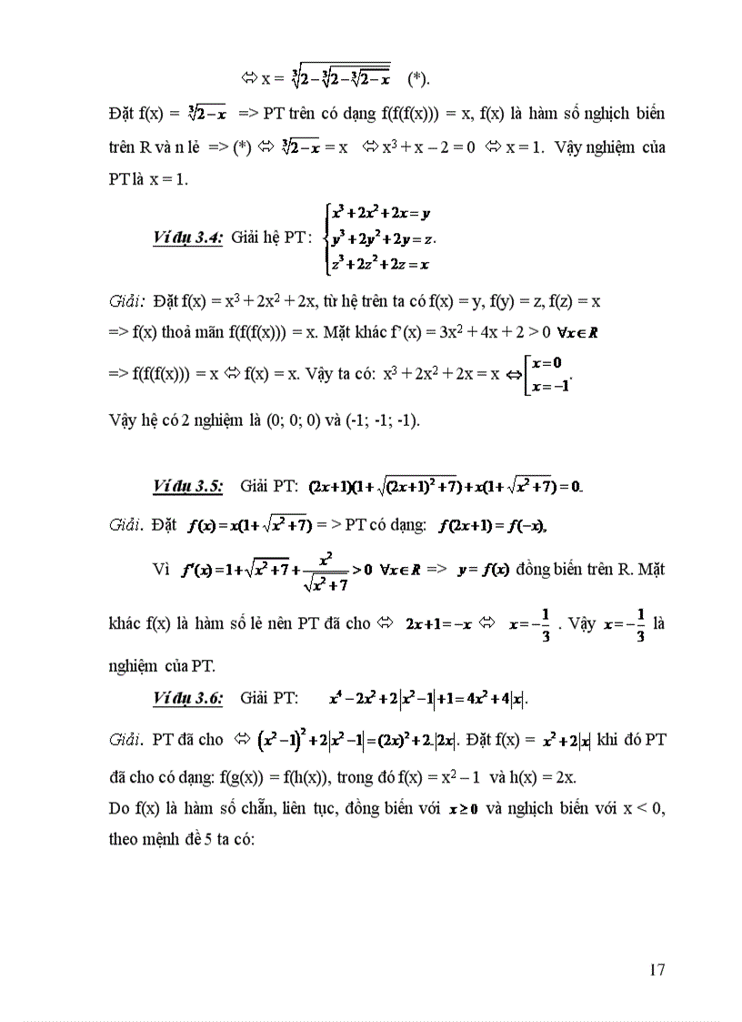
image for page Rèn luyện năng lực giải toán cho học sinh thông qua một số phương pháp giải phương trình hệ phương trình
image for page Rèn luyện năng lực giải toán cho học sinh thông qua một số phương pháp giải phương trình hệ phương trình
image for page Rèn luyện năng lực giải toán cho học sinh thông qua một số phương pháp giải phương trình hệ phương trình
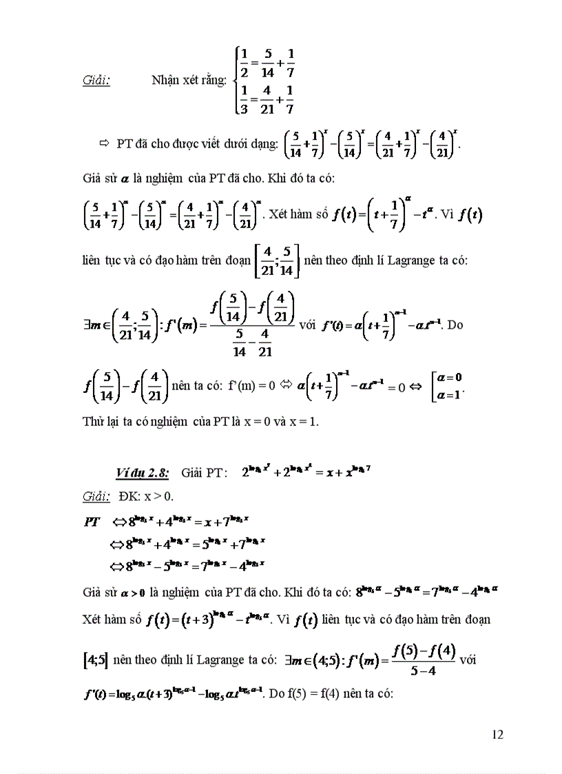
image for page Rèn luyện năng lực giải toán cho học sinh thông qua một số phương pháp giải phương trình hệ phương trình
image for page Rèn luyện năng lực giải toán cho học sinh thông qua một số phương pháp giải phương trình hệ phương trình
image for page Rèn luyện năng lực giải toán cho học sinh thông qua một số phương pháp giải phương trình hệ phương trình
image for page Rèn luyện năng lực giải toán cho học sinh thông qua một số phương pháp giải phương trình hệ phương trình
image for page Rèn luyện năng lực giải toán cho học sinh thông qua một số phương pháp giải phương trình hệ phương trình
image for page Rèn luyện năng lực giải toán cho học sinh thông qua một số phương pháp giải phương trình hệ phương trình
image for page Rèn luyện năng lực giải toán cho học sinh thông qua một số phương pháp giải phương trình hệ phương trình
image for page Rèn luyện năng lực giải toán cho học sinh thông qua một số phương pháp giải phương trình hệ phương trình
image for page Rèn luyện năng lực giải toán cho học sinh thông qua một số phương pháp giải phương trình hệ phương trình
toán giải Rèn luyện lực năng lực hệ phương phương trình Rèn luyện năng lực giải toán cho Rèn luyện năng lực Rèn luyện phương Rèn luyện giải toán Rèn luyện năng lực giải toán sinh trình Rèn luyện năng số giải qua một phương số phương thông cho học qua hệ phương Rèn luyện năng lực giải một sinh thông trình cho pháp giải năng học pháp

Mã tài liệu 553235

Các chức năng trên hệ thống được hướng dẫn đầy đủ và chi tiết nhất qua các video. Bạn click vào nút bên dưới để xem.

Có thể tài liệu Rèn luyện năng lực giải toán cho học sinh thông qua một số phương pháp giải phương trình hệ phương trình sử dụng nhiều loại font chữ mà máy tính bạn chưa có.
Bạn click vào nút bên dưới để tải chương trình cài đặt bộ font chữ đầy đủ nhất cho bạn.

Nếu phần nội dung, hình ảnh ,... trong tài liệu Rèn luyện năng lực giải toán cho học sinh thông qua một số phương pháp giải phương trình hệ phương trình có liên quan đến vi phạm bản quyền, bạn vui lòng click bên dưới báo cho chúng tôi biết.

Tài liệu vừa xem

Rèn luyện năng lực giải
Rèn luyện năng
Rèn luyện năng lực giải toán cho
Rèn luyện năng lực
Rèn luyện
Rèn luyện năng lực giải toán