Secret key sharing

Secret key sharing

Tài liệu "Secret key sharing" có mã là 592120, file định dạng doc, có 5 trang, dung lượng file 126 kb. Tài liệu thuộc chuyên mục: Tài liệu chuyên ngành > Công Nghệ Thông Tin > Lập trình. Tài liệu thuộc loại Đồng

image for page Secret key sharing
image for page Secret key sharing
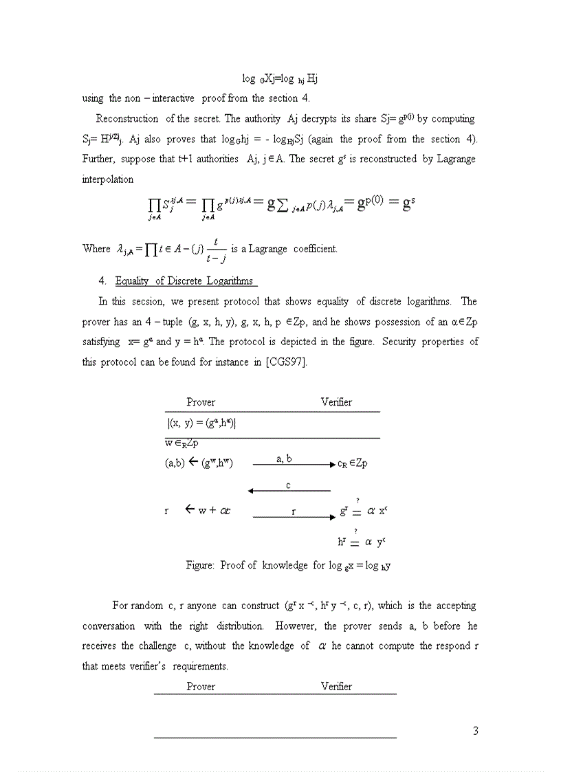
image for page Secret key sharing
image for page Secret key sharing
image for page Secret key sharing

Mã tài liệu 592120

Các chức năng trên hệ thống được hướng dẫn đầy đủ và chi tiết nhất qua các video. Bạn click vào nút bên dưới để xem.

Có thể tài liệu Secret key sharing sử dụng nhiều loại font chữ mà máy tính bạn chưa có.
Bạn click vào nút bên dưới để tải chương trình cài đặt bộ font chữ đầy đủ nhất cho bạn.

Nếu phần nội dung, hình ảnh ,... trong tài liệu Secret key sharing có liên quan đến vi phạm bản quyền, bạn vui lòng click bên dưới báo cho chúng tôi biết.

Tài liệu vừa xem