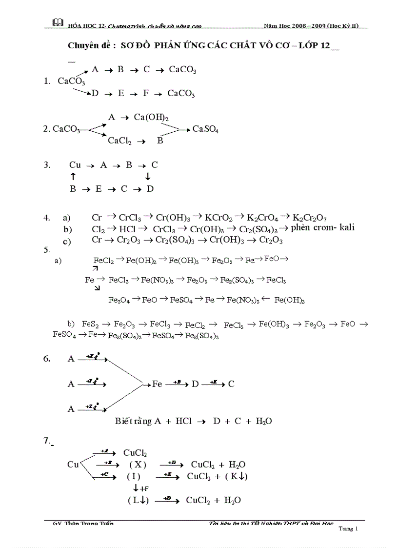
Sơ đồ phản ứng vô cơ 12

Sơ đồ phản ứng vô cơ 12

Tài liệu "Sơ đồ phản ứng vô cơ 12" có mã là 396044, file định dạng doc, có 4 trang Tài liệu thuộc chuyên mục: Tài liệu phổ thông > Hóa Học > Hóa học Lớp 12. Tài liệu thuộc loại Đồng

image for page Sơ đồ phản ứng vô cơ 12
image for page Sơ đồ phản ứng vô cơ 12
image for page Sơ đồ phản ứng vô cơ 12
image for page Sơ đồ phản ứng vô cơ 12
Sơ đồ phản ứng vô cơ Sơ đồ Sơ đồ phản ứng vô phản ứng 12 đồ ứng Sơ đồ Sơ đồ phản vô cơ phản Sơ đồ phản ứng

Mã tài liệu 396044

Các chức năng trên hệ thống được hướng dẫn đầy đủ và chi tiết nhất qua các video. Bạn click vào nút bên dưới để xem.

Có thể tài liệu Sơ đồ phản ứng vô cơ 12 sử dụng nhiều loại font chữ mà máy tính bạn chưa có.
Bạn click vào nút bên dưới để tải chương trình cài đặt bộ font chữ đầy đủ nhất cho bạn.

Nếu phần nội dung, hình ảnh ,... trong tài liệu Sơ đồ phản ứng vô cơ 12 có liên quan đến vi phạm bản quyền, bạn vui lòng click bên dưới báo cho chúng tôi biết.

Tài liệu vừa xem

Sơ đồ phản ứng vô
Sơ đồ phản ứng vô cơ
Sơ đồ
Sơ đồ phản
Sơ đồ phản ứng