Su dung phan memCABRI

Su dung phan memCABRI

Tài liệu "Su dung phan memCABRI" có mã là 372561, file định dạng doc, có 34 trang, dung lượng file 1,508 kb. Tài liệu thuộc chuyên mục: Tài liệu phổ thông > Tổng hợp. Tài liệu thuộc loại Bạc

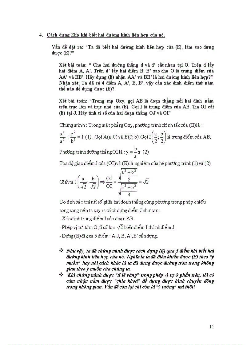
image for page Su dung phan memCABRI
image for page Su dung phan memCABRI
image for page Su dung phan memCABRI
image for page Su dung phan memCABRI
image for page Su dung phan memCABRI
image for page Su dung phan memCABRI
image for page Su dung phan memCABRI
image for page Su dung phan memCABRI
image for page Su dung phan memCABRI
image for page Su dung phan memCABRI
image for page Su dung phan memCABRI
image for page Su dung phan memCABRI
image for page Su dung phan memCABRI
image for page Su dung phan memCABRI
image for page Su dung phan memCABRI
image for page Su dung phan memCABRI
image for page Su dung phan memCABRI
image for page Su dung phan memCABRI
image for page Su dung phan memCABRI

Mã tài liệu 372561

Các chức năng trên hệ thống được hướng dẫn đầy đủ và chi tiết nhất qua các video. Bạn click vào nút bên dưới để xem.

Có thể tài liệu Su dung phan memCABRI sử dụng nhiều loại font chữ mà máy tính bạn chưa có.
Bạn click vào nút bên dưới để tải chương trình cài đặt bộ font chữ đầy đủ nhất cho bạn.

Nếu phần nội dung, hình ảnh ,... trong tài liệu Su dung phan memCABRI có liên quan đến vi phạm bản quyền, bạn vui lòng click bên dưới báo cho chúng tôi biết.

Tài liệu vừa xem