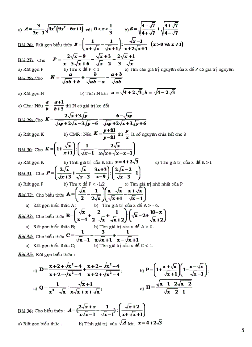
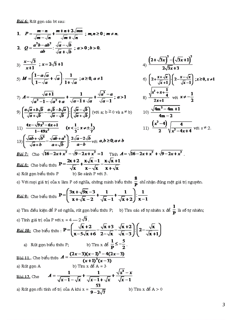
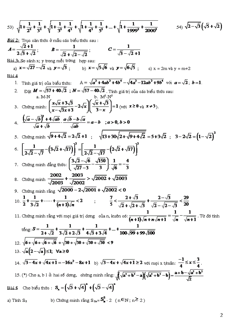
Tài liệu ôn tập Toán 9 phần rút gọn

Tài liệu ôn tập Toán 9 phần rút gọn

Tài liệu "Tài liệu ôn tập Toán 9 phần rút gọn" có mã là 322315, file định dạng doc, có 8 trang, dung lượng file 590 kb. Tài liệu thuộc chuyên mục: Tài liệu phổ thông > Âm Nhạc > Âm nhạc Lớp 6. Tài liệu thuộc loại Đồng

image for page Tài liệu ôn tập Toán 9 phần rút gọn
image for page Tài liệu ôn tập Toán 9 phần rút gọn
image for page Tài liệu ôn tập Toán 9 phần rút gọn
image for page Tài liệu ôn tập Toán 9 phần rút gọn
image for page Tài liệu ôn tập Toán 9 phần rút gọn
image for page Tài liệu ôn tập Toán 9 phần rút gọn
image for page Tài liệu ôn tập Toán 9 phần rút gọn
image for page Tài liệu ôn tập Toán 9 phần rút gọn
phần phần rút Tài liệu ôn tập Toán 9 phần ôn Tài liệu ôn tập Toán 9 Tài liệu ôn Toán 9 Tài liệu ôn tập Toán liệu Toán Tài liệu ôn tập ôn tập gọn rút Tài liệu Tài Tài liệu tập 9

Mã tài liệu 322315

Các chức năng trên hệ thống được hướng dẫn đầy đủ và chi tiết nhất qua các video. Bạn click vào nút bên dưới để xem.

Có thể tài liệu Tài liệu ôn tập Toán 9 phần rút gọn sử dụng nhiều loại font chữ mà máy tính bạn chưa có.
Bạn click vào nút bên dưới để tải chương trình cài đặt bộ font chữ đầy đủ nhất cho bạn.

Nếu phần nội dung, hình ảnh ,... trong tài liệu Tài liệu ôn tập Toán 9 phần rút gọn có liên quan đến vi phạm bản quyền, bạn vui lòng click bên dưới báo cho chúng tôi biết.

Tài liệu vừa xem

Tài liệu ôn tập Toán
Tài liệu ôn tập Toán 9 phần
Tài liệu ôn
Tài liệu
Tài liệu ôn tập
Tài liệu ôn tập Toán 9