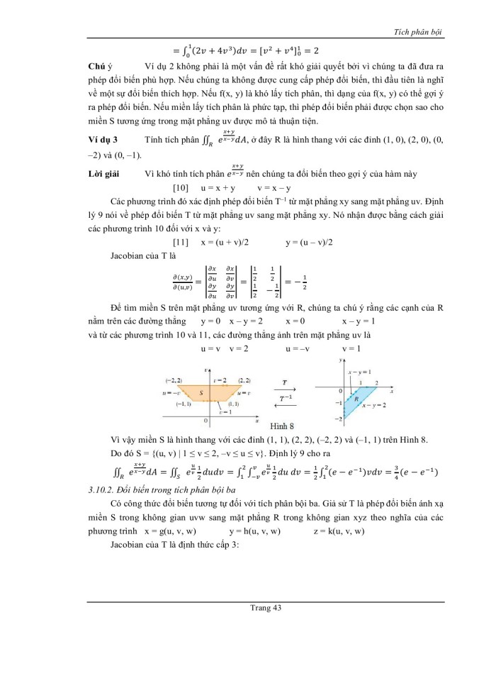
Tích phân bội

Tích phân bội

Tài liệu "Tích phân bội" có mã là 1681833, file định dạng pdf, có 45 trang, dung lượng file 2,969 kb. Tài liệu thuộc chuyên mục: Tài liệu chuyên ngành > Tài Liệu Ôn Thi. Tài liệu thuộc loại Đồng

image for page Tích phân bội
image for page Tích phân bội
image for page Tích phân bội
image for page Tích phân bội
image for page Tích phân bội
image for page Tích phân bội
image for page Tích phân bội
image for page Tích phân bội
image for page Tích phân bội
image for page Tích phân bội
image for page Tích phân bội
image for page Tích phân bội
image for page Tích phân bội
image for page Tích phân bội
image for page Tích phân bội
image for page Tích phân bội
image for page Tích phân bội
image for page Tích phân bội
image for page Tích phân bội
image for page Tích phân bội
image for page Tích phân bội

Mã tài liệu 1681833

Các chức năng trên hệ thống được hướng dẫn đầy đủ và chi tiết nhất qua các video. Bạn click vào nút bên dưới để xem.

Có thể tài liệu Tích phân bội sử dụng nhiều loại font chữ mà máy tính bạn chưa có.
Bạn click vào nút bên dưới để tải chương trình cài đặt bộ font chữ đầy đủ nhất cho bạn.

Nếu phần nội dung, hình ảnh ,... trong tài liệu Tích phân bội có liên quan đến vi phạm bản quyền, bạn vui lòng click bên dưới báo cho chúng tôi biết.

Tài liệu vừa xem