Tóm tắt kiến thức toán THPT

Tóm tắt kiến thức toán THPT

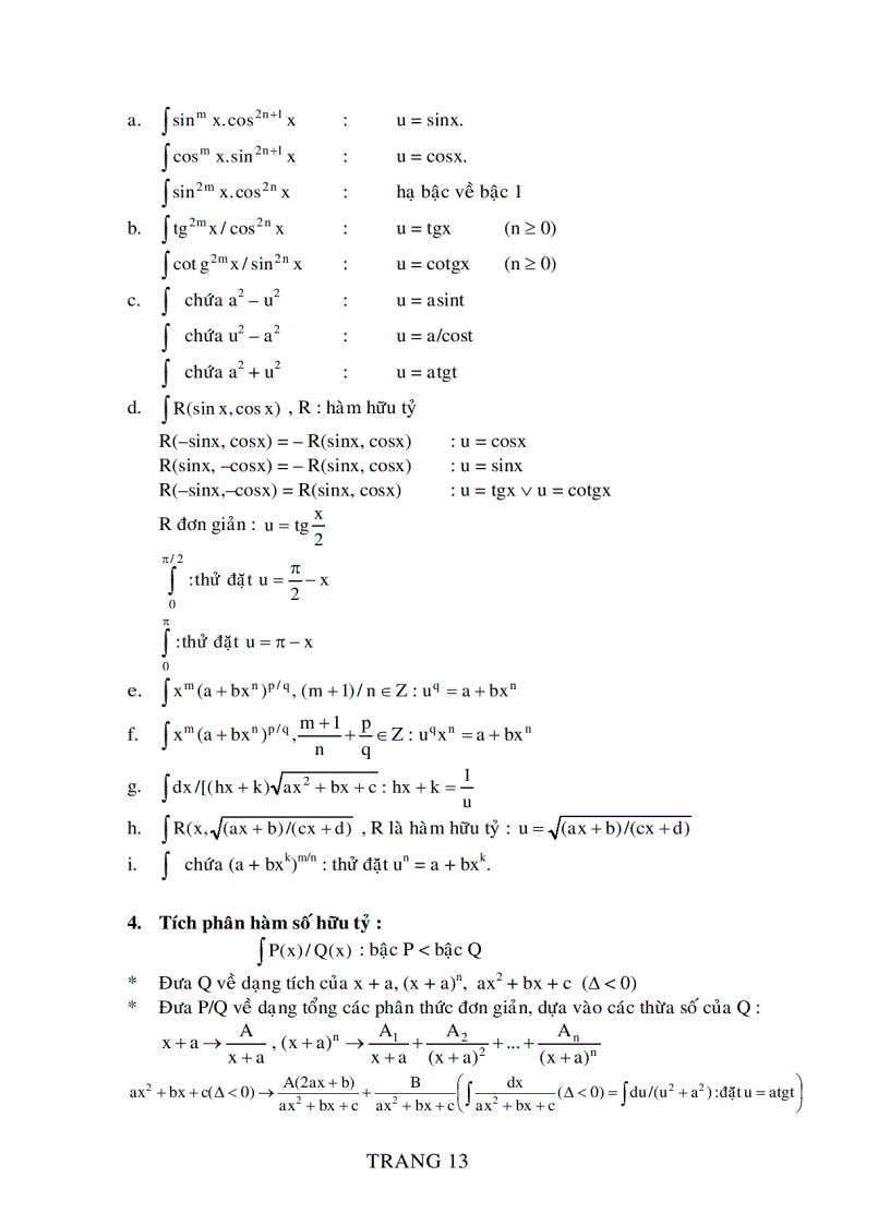
Tài liệu "Tóm tắt kiến thức toán THPT" có mã là 327311, file định dạng pdf, có 28 trang, dung lượng file 386 kb. Tài liệu thuộc chuyên mục: Tài liệu phổ thông > Cao đẳng, Đại Học > Kỹ Thuật. Tài liệu thuộc loại Bạc

image for page Tóm tắt kiến thức toán THPT
image for page Tóm tắt kiến thức toán THPT
image for page Tóm tắt kiến thức toán THPT
image for page Tóm tắt kiến thức toán THPT
image for page Tóm tắt kiến thức toán THPT
image for page Tóm tắt kiến thức toán THPT
image for page Tóm tắt kiến thức toán THPT
image for page Tóm tắt kiến thức toán THPT
image for page Tóm tắt kiến thức toán THPT
image for page Tóm tắt kiến thức toán THPT
image for page Tóm tắt kiến thức toán THPT
image for page Tóm tắt kiến thức toán THPT
image for page Tóm tắt kiến thức toán THPT
image for page Tóm tắt kiến thức toán THPT
image for page Tóm tắt kiến thức toán THPT
toán toán THPT Tóm tắt kiến Tóm tắt kiến thức thức tắt Tóm tắt Tóm tắt kiến thức toán Tóm THPT kiến Tóm tắt kiến thức

Mã tài liệu 327311

Các chức năng trên hệ thống được hướng dẫn đầy đủ và chi tiết nhất qua các video. Bạn click vào nút bên dưới để xem.

Có thể tài liệu Tóm tắt kiến thức toán THPT sử dụng nhiều loại font chữ mà máy tính bạn chưa có.
Bạn click vào nút bên dưới để tải chương trình cài đặt bộ font chữ đầy đủ nhất cho bạn.

Nếu phần nội dung, hình ảnh ,... trong tài liệu Tóm tắt kiến thức toán THPT có liên quan đến vi phạm bản quyền, bạn vui lòng click bên dưới báo cho chúng tôi biết.

Tài liệu vừa xem

Tóm tắt kiến thức
Tóm tắt kiến
Tóm tắt kiến thức toán
Tóm tắt