Tổng hợp các tài liệu về đề thi mẫu môn toán rất hay

Tổng hợp các tài liệu về đề thi mẫu môn toán rất hay

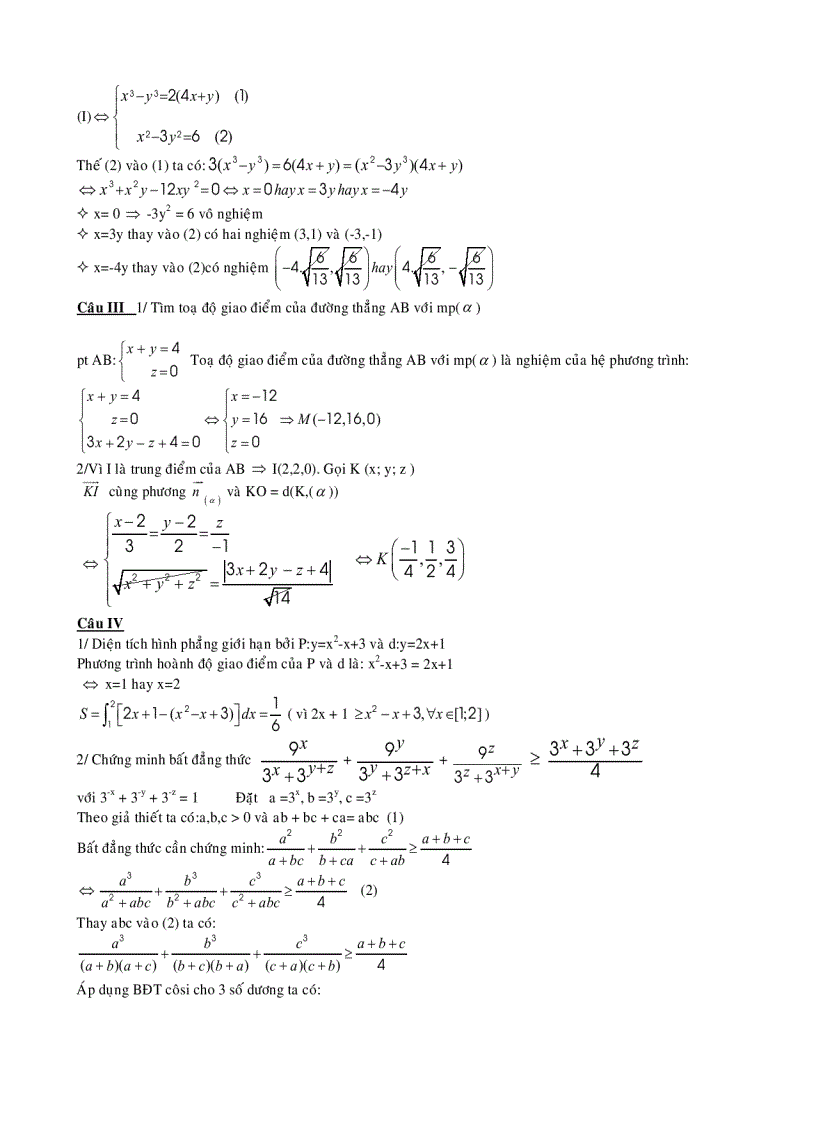
Tài liệu "Tổng hợp các tài liệu về đề thi mẫu môn toán rất hay" có mã là 550271, file định dạng pdf, có 5 trang, dung lượng file 167 kb. Tài liệu thuộc chuyên mục: Tài liệu chuyên ngành > Kỹ Thuật Công Nghệ > Toán Học. Tài liệu thuộc loại Đồng

image for page Tổng hợp các tài liệu về đề thi mẫu môn toán rất hay
image for page Tổng hợp các tài liệu về đề thi mẫu môn toán rất hay
image for page Tổng hợp các tài liệu về đề thi mẫu môn toán rất hay
image for page Tổng hợp các tài liệu về đề thi mẫu môn toán rất hay
image for page Tổng hợp các tài liệu về đề thi mẫu môn toán rất hay
Tổng hợp các Tổng hợp các tài liệu liệu về toán rất rất Tổng Tổng hợp mẫu các tài đề thi môn hợp toán Tổng hợp các tài liệu về đề mẫu môn hay thi Tổng hợp các tài các liệu về tài Tổng hợp các tài liệu về đề Tổng hợp

Mã tài liệu 550271

Các chức năng trên hệ thống được hướng dẫn đầy đủ và chi tiết nhất qua các video. Bạn click vào nút bên dưới để xem.

Có thể tài liệu Tổng hợp các tài liệu về đề thi mẫu môn toán rất hay sử dụng nhiều loại font chữ mà máy tính bạn chưa có.
Bạn click vào nút bên dưới để tải chương trình cài đặt bộ font chữ đầy đủ nhất cho bạn.

Nếu phần nội dung, hình ảnh ,... trong tài liệu Tổng hợp các tài liệu về đề thi mẫu môn toán rất hay có liên quan đến vi phạm bản quyền, bạn vui lòng click bên dưới báo cho chúng tôi biết.

Tài liệu vừa xem

Tổng hợp các tài liệu
Tổng hợp các
Tổng hợp các tài liệu về đề
Tổng hợp các tài
Tổng hợp
Tổng hợp các tài liệu về