Trắc nghiệm C2

Trắc nghiệm C2

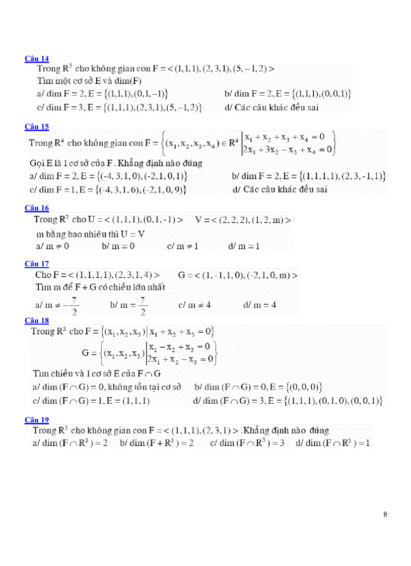
Tài liệu "Trắc nghiệm C2" có mã là 561728, file định dạng pdf, có 11 trang, dung lượng file 353 kb. Tài liệu thuộc chuyên mục: Tài liệu chuyên ngành > Chuyên Ngành Kinh Tế > Kế Toán - Kiểm Toán. Tài liệu thuộc loại Đồng

image for page Trắc nghiệm C2
image for page Trắc nghiệm C2
image for page Trắc nghiệm C2
image for page Trắc nghiệm C2
image for page Trắc nghiệm C2
image for page Trắc nghiệm C2
image for page Trắc nghiệm C2
image for page Trắc nghiệm C2
image for page Trắc nghiệm C2
image for page Trắc nghiệm C2
image for page Trắc nghiệm C2

Mã tài liệu 561728

Các chức năng trên hệ thống được hướng dẫn đầy đủ và chi tiết nhất qua các video. Bạn click vào nút bên dưới để xem.

Có thể tài liệu Trắc nghiệm C2 sử dụng nhiều loại font chữ mà máy tính bạn chưa có.
Bạn click vào nút bên dưới để tải chương trình cài đặt bộ font chữ đầy đủ nhất cho bạn.

Nếu phần nội dung, hình ảnh ,... trong tài liệu Trắc nghiệm C2 có liên quan đến vi phạm bản quyền, bạn vui lòng click bên dưới báo cho chúng tôi biết.

Tài liệu vừa xem